Официальное опубликование правовых актов
ОФИЦИАЛЬНОЕ ОПУБЛИКОВАНИЕ
Приказ Министерства природных ресурсов и экологии Республики Северная Осетия-Алания от 12.02.2025 № 41
"Об утверждении паспортов памятников природы регионального значения"
(Зарегистрирован 14.02.2025 № 0039-25-1)
Номер опубликования: 1501202502210001
Дата опубликования: 21.02.2025
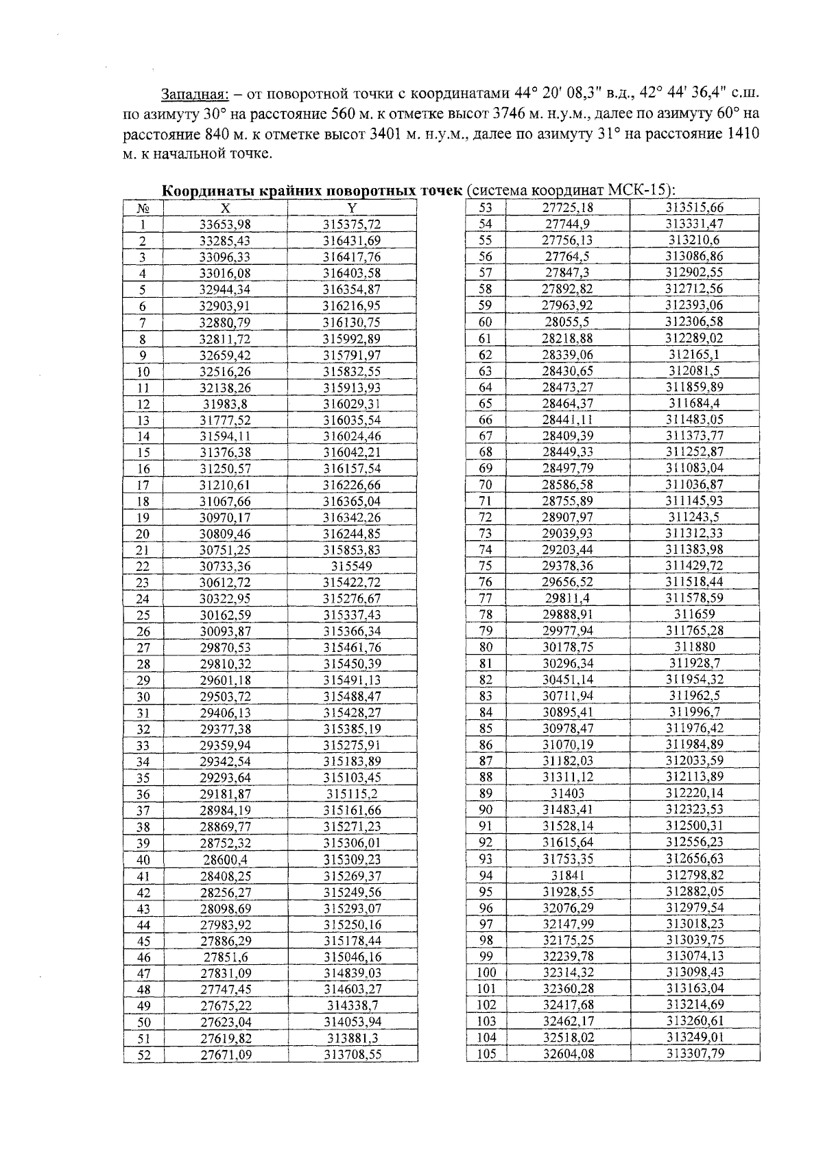
Страница №1087 из 1159:
Увеличить