Официальное опубликование правовых актов
ОФИЦИАЛЬНОЕ ОПУБЛИКОВАНИЕ
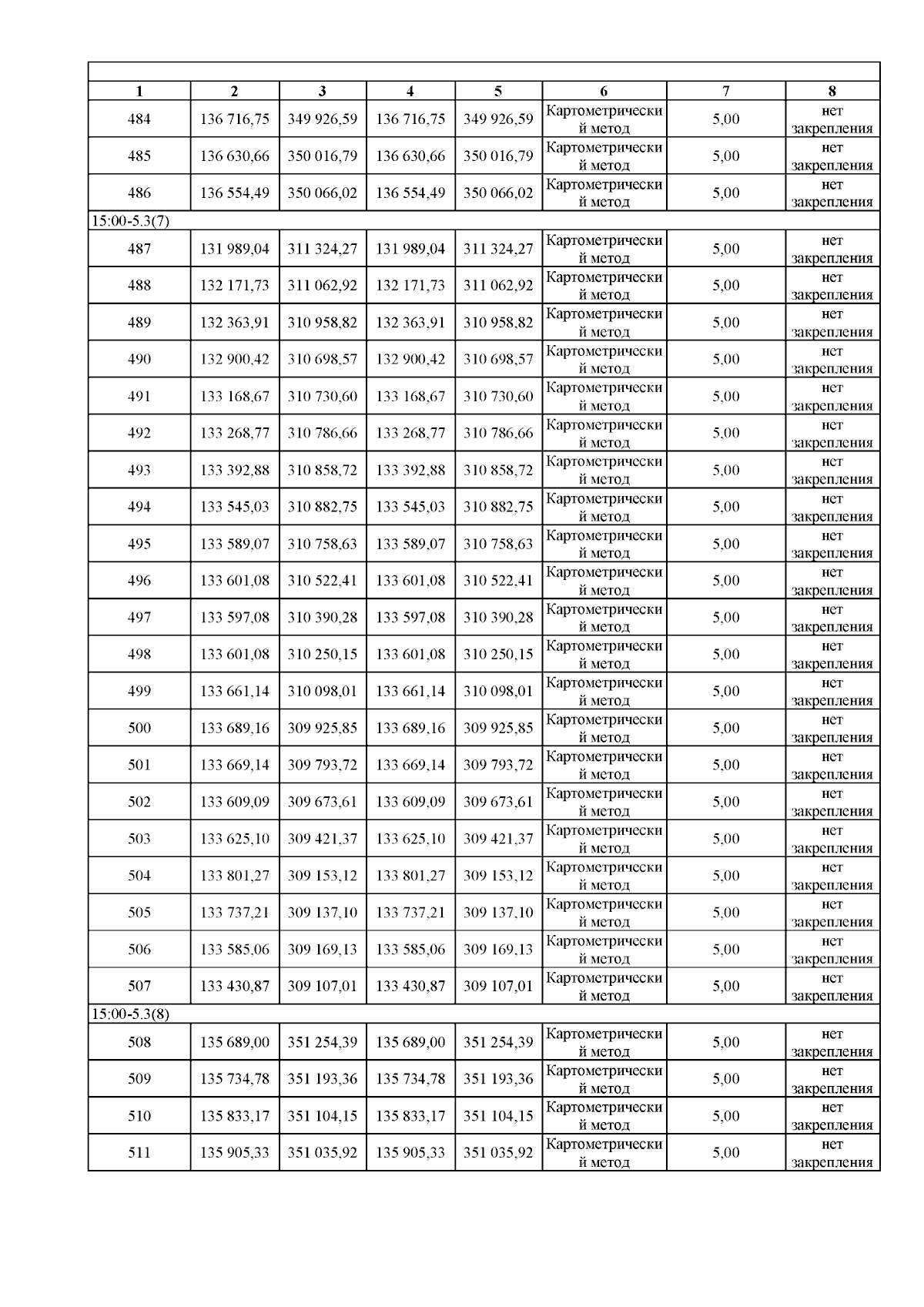
Приказ Министерства природных ресурсов и экологии Республики Северная Осетия-Алания от 18.11.2025 № 390
"Об уточнении местоположения береговой линии (границы водного объекта)"
Номер опубликования: 1501202511210001
Дата опубликования: 21.11.2025
Страница №20 из 184:
Увеличить