Официальное опубликование правовых актов
ОФИЦИАЛЬНОЕ ОПУБЛИКОВАНИЕ
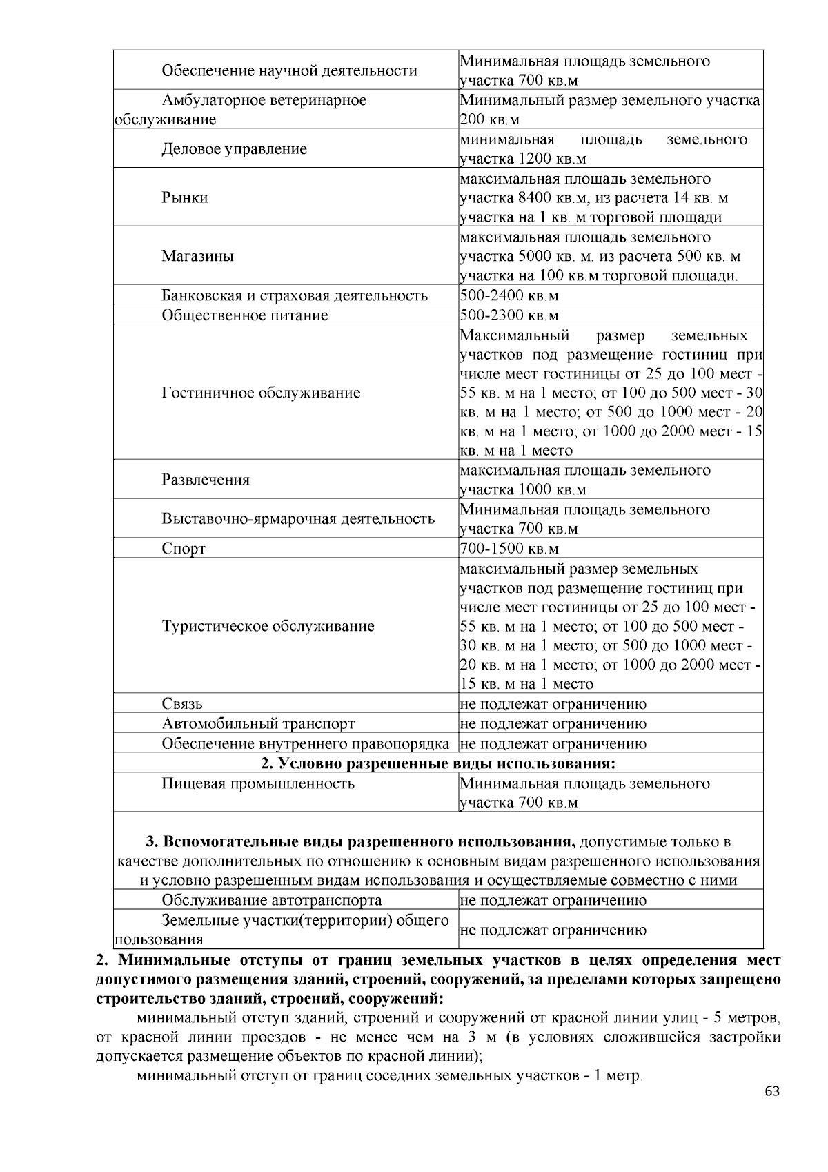
Приказ Министерства строительства и архитектуры Республики Северная Осетия-Алания от 19.01.2026 № 7
"Об утверждении правил землепользования и застройки Костаевского сельского поселения Ардонского муниципального района Республики Северная Осетия - Алания"
(Зарегистрирован 21.01.2026 № 0015-26-1)
Номер опубликования: 1501202601220003
Дата опубликования: 22.01.2026
Страница №64 из 123:
Увеличить