Официальное опубликование правовых актов
ОФИЦИАЛЬНОЕ ОПУБЛИКОВАНИЕ
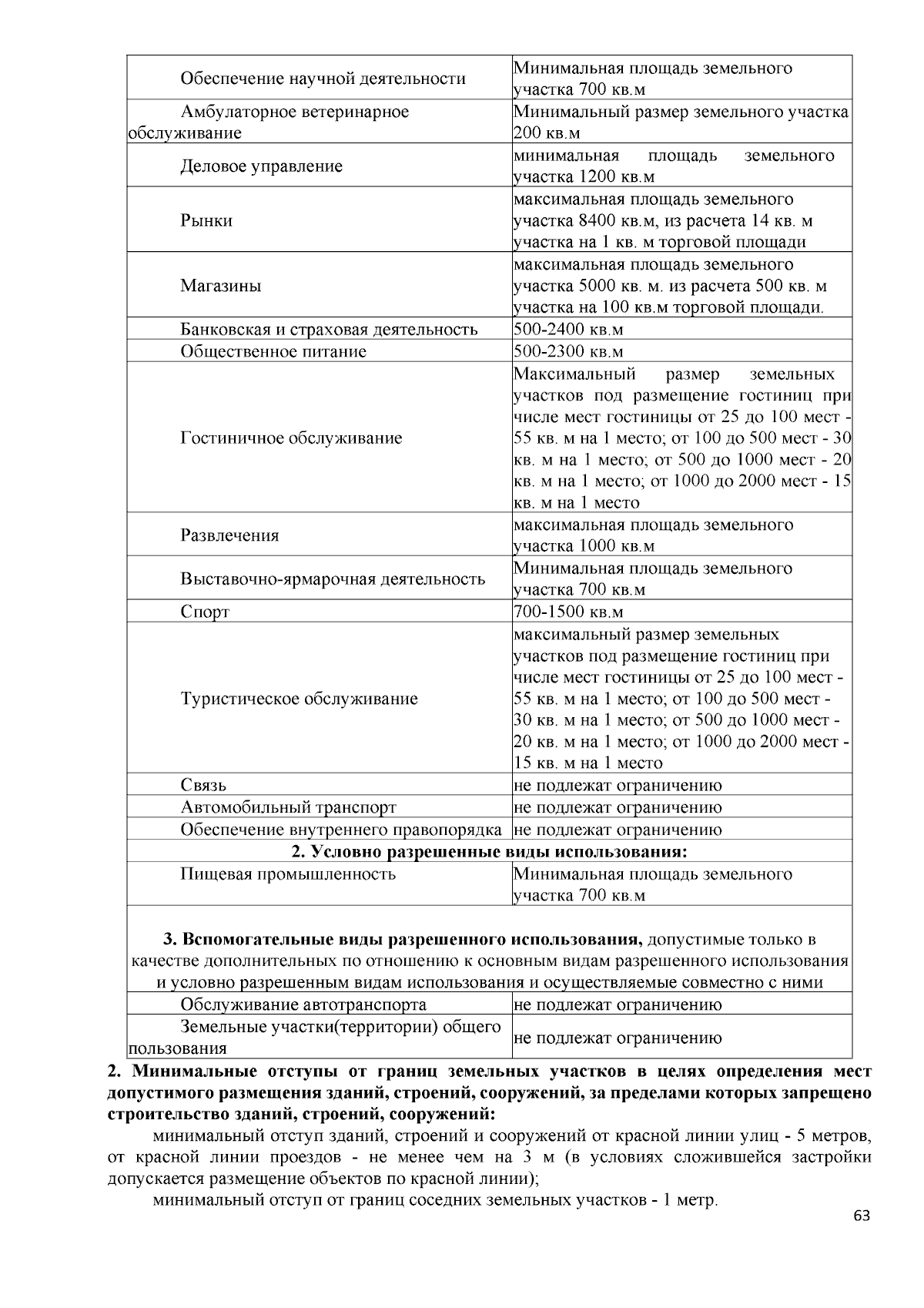
Приказ Министерства строительства и архитектуры Республики Северная Осетия-Алания от 19.01.2026 № 12
"Об утверждении правил землепользования и застройки Фиагдонского сельского поселения Ардонского муниципального района Республики Северная Осетия - Алания"
(Зарегистрирован 21.01.2026 № 0020-26-1)
Номер опубликования: 1501202601220007
Дата опубликования: 22.01.2026
Страница №64 из 123:
Увеличить