Официальное опубликование правовых актов
ОФИЦИАЛЬНОЕ ОПУБЛИКОВАНИЕ
Приказ Комитета по охране и использованию объектов культурного наследия Республики Северная Осетия-Алания от 18.03.2026 № 99
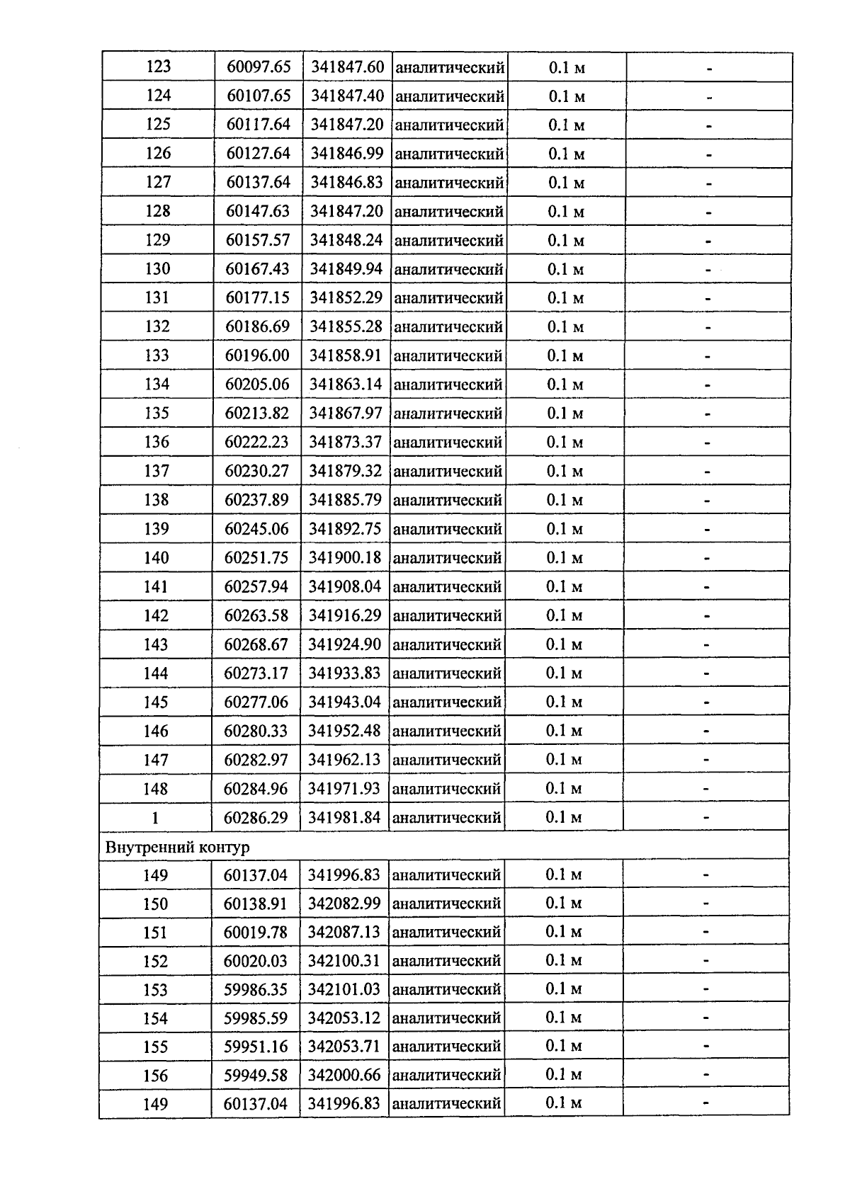
"Об утверждении границ защитной зоны объекта культурного наследия регионального значения "Терская войсковая учительская семинария. Комплекс зданий", расположенного по адресу: Республика Северная Осетия-Алания, г. Владикавказ, ул. Пушкинская, 40 / ул. Горького, 83"
(Зарегистрирован 23.03.2026 № 0116-26-2)
Номер опубликования: 1501202603260004
Дата опубликования: 26.03.2026
Страница №6 из 8:
Увеличить