Официальное опубликование правовых актов
ОФИЦИАЛЬНОЕ ОПУБЛИКОВАНИЕ
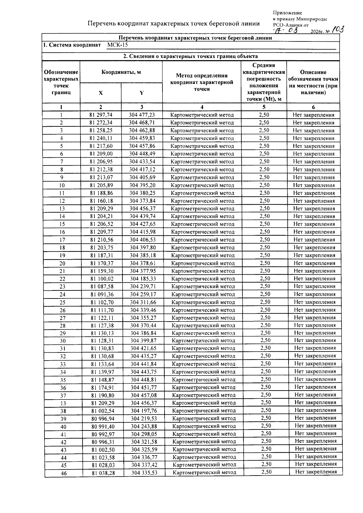
Приказ Министерства природных ресурсов и экологии Республики Северная Осетия-Алания от 17.03.2026 № 103
"Об утверждении местоположения береговой линии (границы водного объекта)"
(Зарегистрирован 19.03.2026 № 0103-26-1)
Номер опубликования: 1501202603260017
Дата опубликования: 26.03.2026
Страница №2 из 7:
Увеличить