Официальное опубликование правовых актов
ОФИЦИАЛЬНОЕ ОПУБЛИКОВАНИЕ
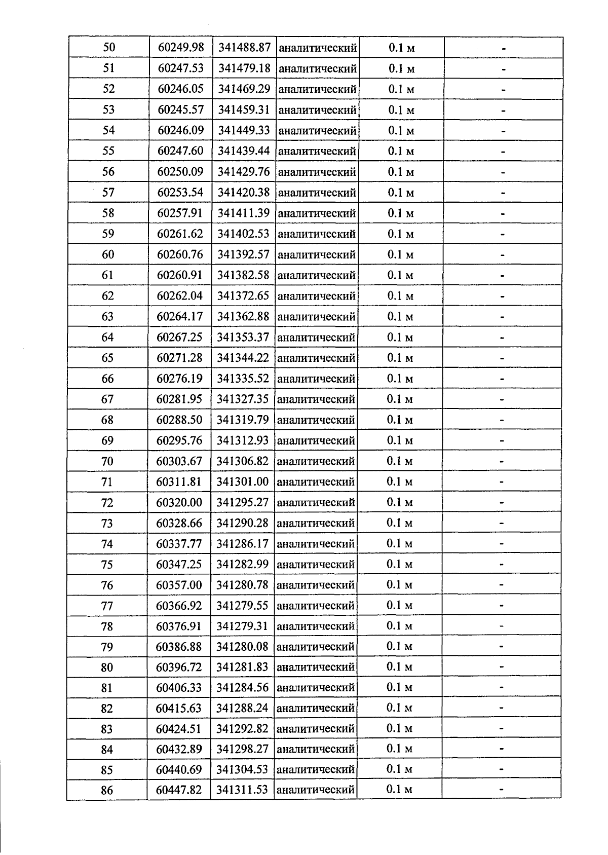
Приказ Комитета по охране и использованию объектов культурного наследия Республики Северная Осетия-Алания от 17.03.2026 № 96
"Об утверждении границ защитной зоны объекта культурного наследия регионального значения "Дом жилой", расположенного по адресу: Республика Северная Осетия-Алания, г. Владикавказ, ул. Маркова, 1-а /ул. Джанаева, 44"
(Зарегистрирован 24.03.2026 № 0121-26-2)
Номер опубликования: 1501202603260019
Дата опубликования: 26.03.2026
Страница №4 из 7:
Увеличить