Официальное опубликование правовых актов
ОФИЦИАЛЬНОЕ ОПУБЛИКОВАНИЕ
Приказ Комитета по охране и использованию объектов культурного наследия Республики Северная Осетия-Алания от 17.03.2026 № 98
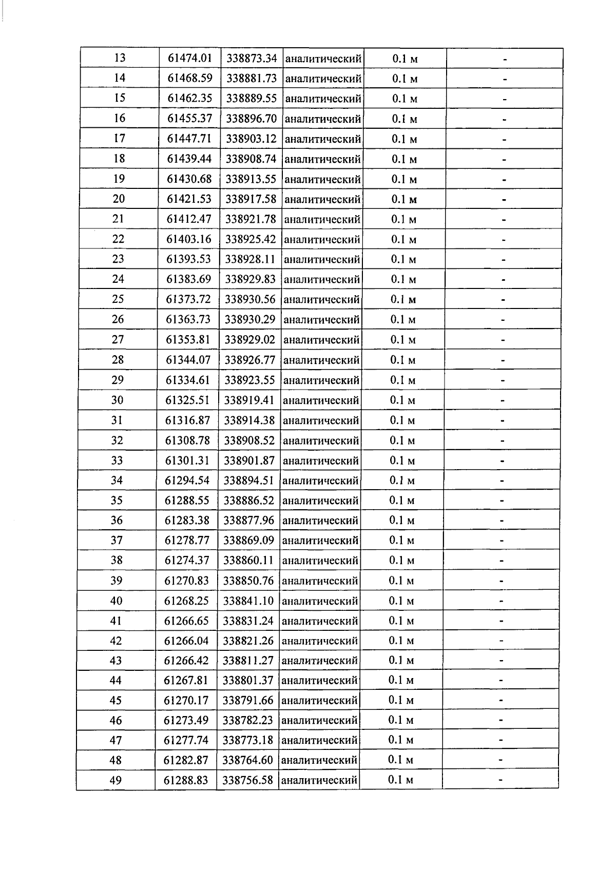
"Об утверждении границ защитной зоны объекта культурного наследия регионального значения "Памятник защитникам г. Владикавказа от немецко-фашистских захватчиков в 1942 г.", расположенного по адресу: Республика Северная Осетия-Алания, г. Владикавказ, пл. Победы"
(Зарегистрирован 24.03.2026 № 0123-26-2)
Номер опубликования: 1501202603260021
Дата опубликования: 26.03.2026
Страница №3 из 6:
Увеличить