Официальное опубликование правовых актов
ОФИЦИАЛЬНОЕ ОПУБЛИКОВАНИЕ
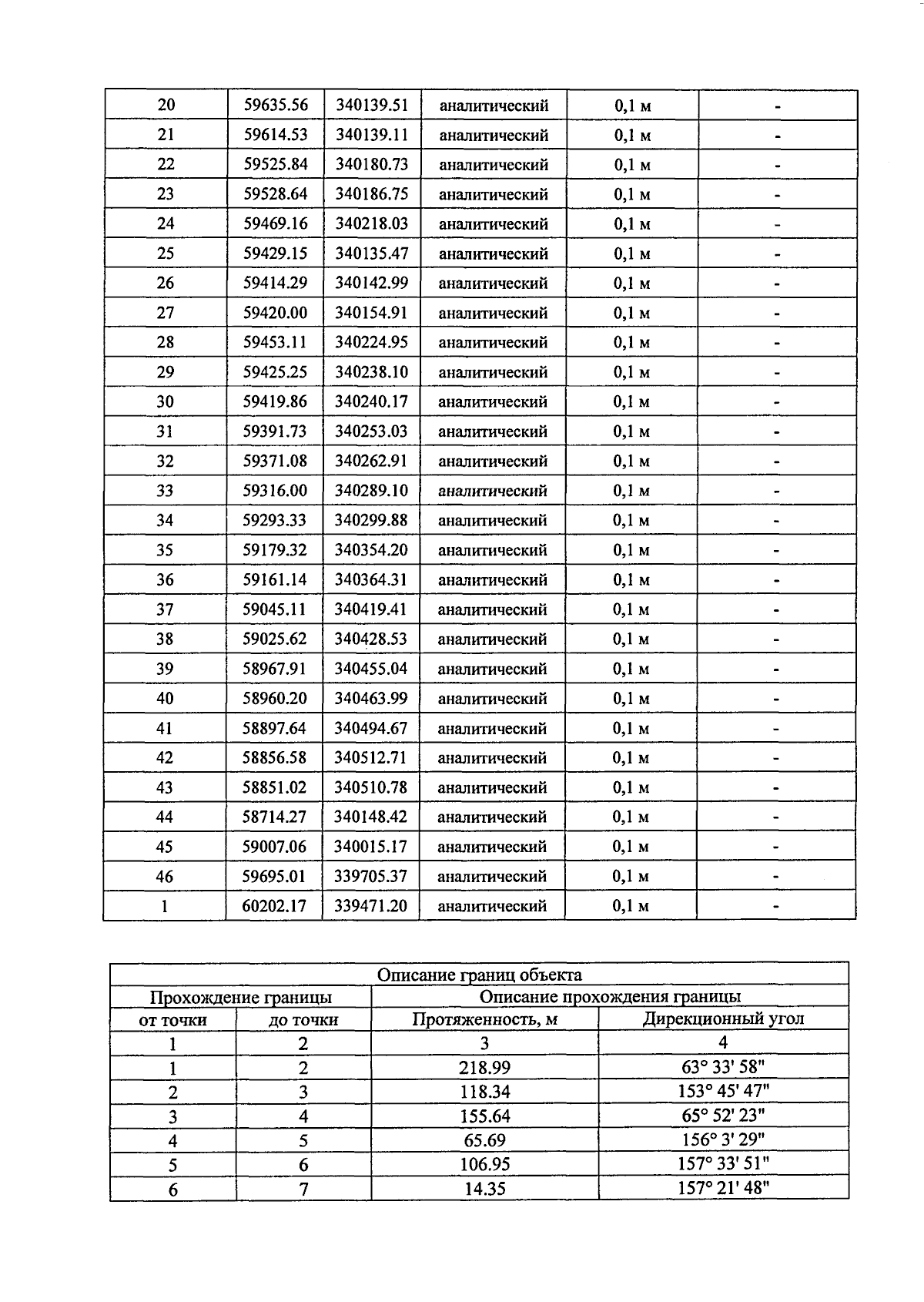
Приказ Комитета по охране и использованию объектов культурного наследия Республики Северная Осетия-Алания от 06.04.2026 № 123
"Об утверждении границы территории объекта культурного наследия регионального значения "Историческая часть г. Владикавказа 2", расположенного по адресу: Республика Северная Осетия-Алания, г. Владикавказ, в границах улиц: Таутиева - Бимболата Ватаева - Кирова - Коцоева - Генерала Плиева - проспект Коста"
(Зарегистрирован 07.04.2026 № 0137-26-2)
Номер опубликования: 1501202604100001
Дата опубликования: 10.04.2026
Страница №3 из 5:
Увеличить