Официальное опубликование правовых актов
ОФИЦИАЛЬНОЕ ОПУБЛИКОВАНИЕ
Приказ Комитета по охране и использованию объектов культурного наследия Республики Северная Осетия-Алания от 06.04.2026 № 119
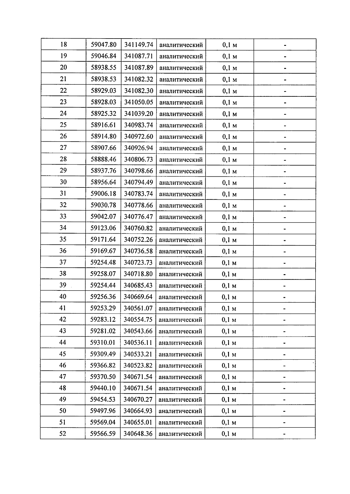
"Об утверждении границы территории объекта культурного наследия регионального значения "Исторический центр г. Владикавказа", расположенного по адресу: Республика Северная Осетия-Алания, г. Владикавказ, в границах улиц: Титова - Маркова - Кирова - Ростовская - Джанаева - Маркова - Ватутина - Армянская - Штыба - Гаппо Баева - Чермена Баева - набережная р. Терек"
(Зарегистрирован 07.04.2026 № 0134-26-2)
Номер опубликования: 1501202604100002
Дата опубликования: 10.04.2026
Страница №3 из 7:
Увеличить