Официальное опубликование правовых актов
ОФИЦИАЛЬНОЕ ОПУБЛИКОВАНИЕ
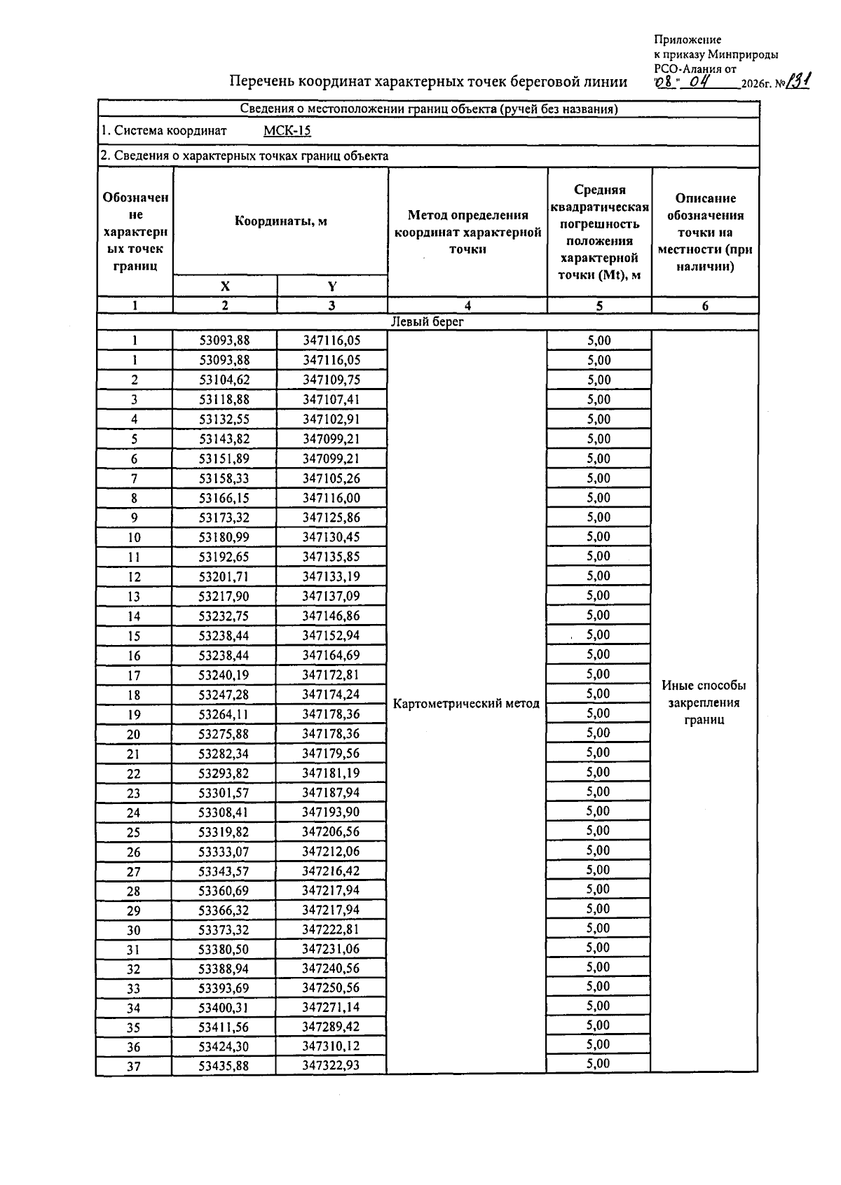
Приказ Министерства природных ресурсов и экологии Республики Северная Осетия-Алания от 08.04.2026 № 131
"Об утверждении местоположения береговой линии (границы водного объекта)"
(Зарегистрирован 13.04.2026 № 0141-26-1)
Номер опубликования: 1501202604140001
Дата опубликования: 14.04.2026
Страница №2 из 13:
Увеличить