Официальное опубликование правовых актов
ОФИЦИАЛЬНОЕ ОПУБЛИКОВАНИЕ
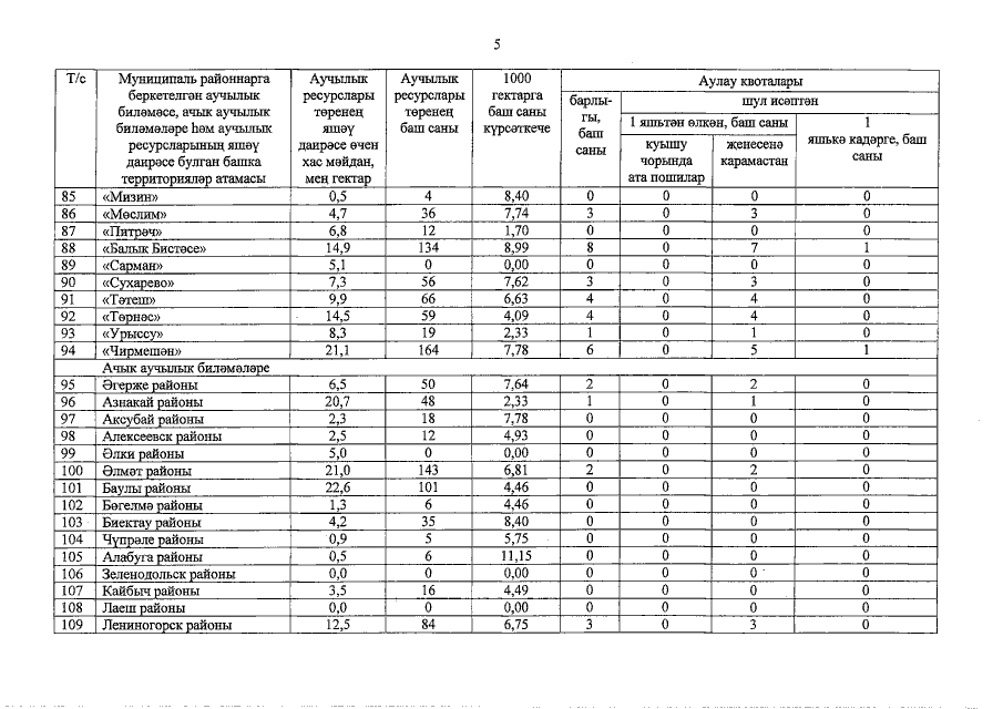
Распоряжение Президента Республики Татарстан от 27.07.2016 № 456
"Об утверждении лимита добычи охотничьих ресурсов на территории Республики Татарстан на период с 1 августа 2016 года до 1 августа 2017 года"
Номер опубликования: 1600201608010002
Дата опубликования: 01.08.2016
Страница №27 из 42:
Увеличить