Официальное опубликование правовых актов
ОФИЦИАЛЬНОЕ ОПУБЛИКОВАНИЕ
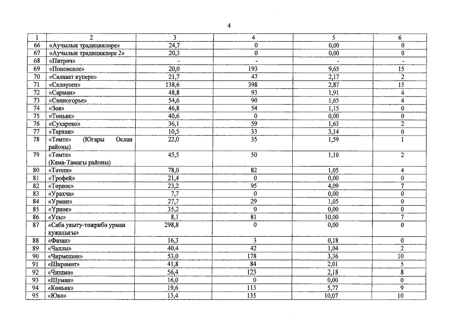
Указ Президента Республики Татарстан от 30.07.2021 № УП-608
"Об утверждении лимита добычи охотничьих ресурсов на территории Республики Татарстан на период с 1 августа 2021 года до 1 августа 2022 года"
Номер опубликования: 1600202108020001
Дата опубликования: 02.08.2021
Страница №41 из 56:
Увеличить