Официальное опубликование правовых актов
ОФИЦИАЛЬНОЕ ОПУБЛИКОВАНИЕ
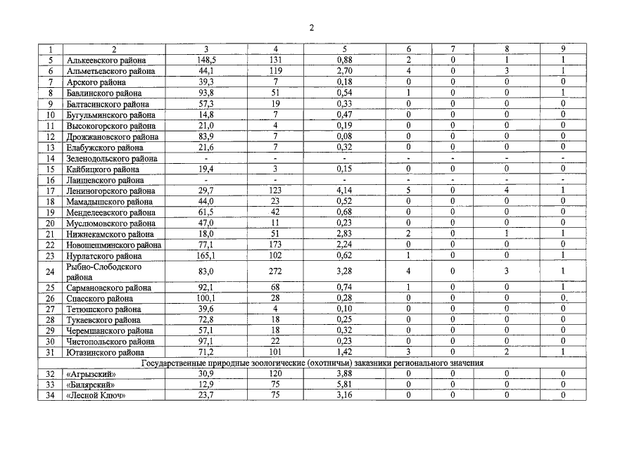
Указ Президента Республики Татарстан от 30.07.2022 № УП-517
"Об утверждении лимита добычи охотничьих ресурсов на территории Республики Татарстан на период с 1 августа 2022 года до 1 августа 2023"
Номер опубликования: 1600202208010001
Дата опубликования: 01.08.2022
Страница №9 из 76:
Увеличить