Официальное опубликование правовых актов
ОФИЦИАЛЬНОЕ ОПУБЛИКОВАНИЕ
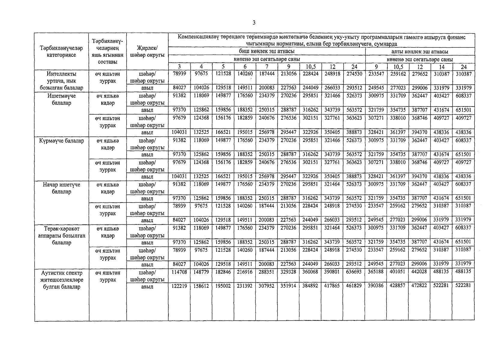
Закон Республики Татарстан от 30.09.2025 № 56-ЗРТ
"Об утверждении нормативов финансового обеспечения государственных гарантий реализации прав на получение общедоступного и бесплатного дошкольного образования в муниципальных образовательных организациях, реализующих образовательные программы дошкольного образования, в Республике Татарстан на 2026 год и плановый период 2027 и 2028 годов"
Номер опубликования: 1600202510030006
Дата опубликования: 03.10.2025
Страница №35 из 38:
Увеличить