Официальное опубликование правовых актов
ОФИЦИАЛЬНОЕ ОПУБЛИКОВАНИЕ
Приказ Министерства труда, занятости и социальной защиты Республики Татарстан от 09.11.2022 № 996
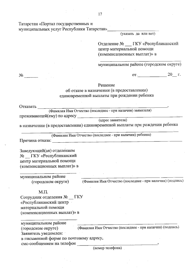
"О внесении изменений в Административный регламент предоставления государственной услуги по назначению единовременной выплаты женщинам, постоянно проживающим в сельской местности, поселках городского типа, при рождении ребенка, утвержденный приказом Министерства труда, занятости и социальной защиты Республики Татарстан от 06.04.2018 № 254"
(Зарегистрирован 19.12.2022 № 10239)
Номер опубликования: 1601202212190003
Дата опубликования: 19.12.2022
Страница №18 из 19:
Увеличить