Официальное опубликование правовых актов
ОФИЦИАЛЬНОЕ ОПУБЛИКОВАНИЕ
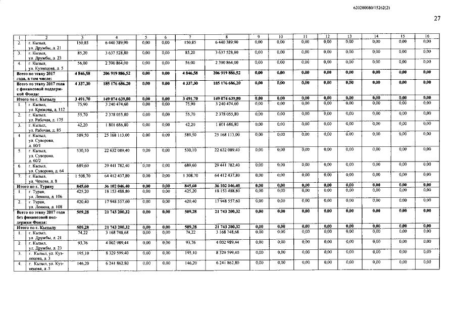
Постановление Правительства Республики Тыва от 02.12.2015 № 554 "О внесении изменений в республиканскую адресную программу по переселению граждан из аварийного жилищного фонда в Республике Тыва на 2013-2017 годы"
Номер опубликования: 1700201512030003
Дата опубликования: 03.12.2015
Страница №27 из 29:
Увеличить