Официальное опубликование правовых актов
ОФИЦИАЛЬНОЕ ОПУБЛИКОВАНИЕ
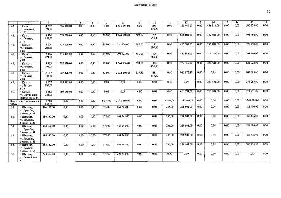
Постановление Правительства Республики Тыва от 03.12.2015 № 555 "О внесении изменения в краткосрочный план реализации региональной программы "Капитальный ремонт общего имущества в многоквартирных домах, расположенных на территории Республики Тыва, на 2014-2043 годы" на 2014-2016 годы"
Номер опубликования: 1700201512040001
Дата опубликования: 04.12.2015
Страница №12 из 18:
Увеличить