Официальное опубликование правовых актов
ОФИЦИАЛЬНОЕ ОПУБЛИКОВАНИЕ
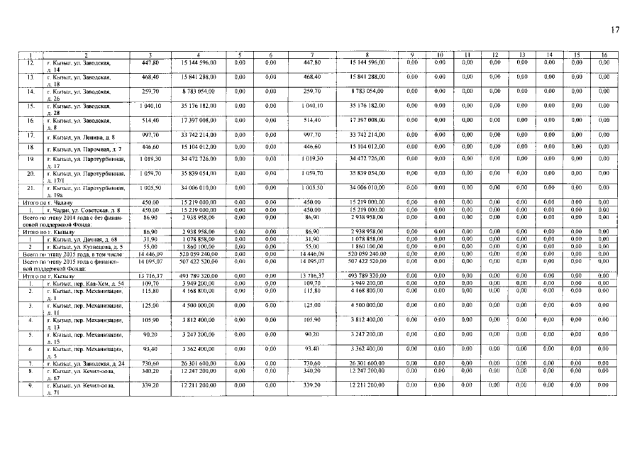
Постановление Правительства Республики Тыва от 17.03.2016 № 84 "О внесении изменений в республиканскую адресную программу по переселению граждан из аварийного жилищного фонда в Республике Тыва на 2013-2017 годы"
Номер опубликования: 1700201603230005
Дата опубликования: 23.03.2016
Страница №17 из 23:
Увеличить