Официальное опубликование правовых актов
ОФИЦИАЛЬНОЕ ОПУБЛИКОВАНИЕ
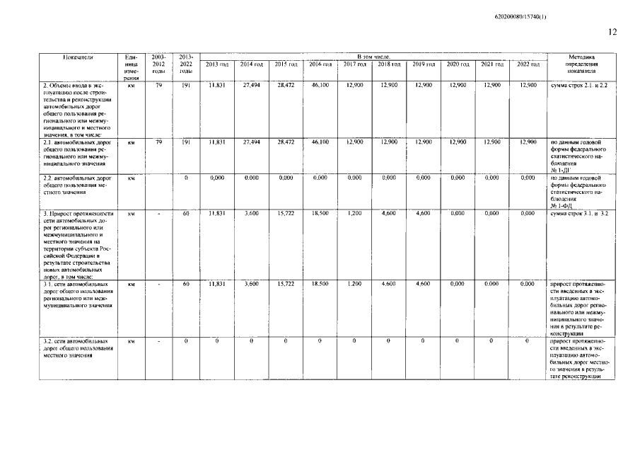
Постановление Правительства Республики Тыва от 27.04.2016 № 141 "О внесении изменений в государственную программу Республики Тыва "Развитие транспортной системы Республики Тыва на 2014-2016 годы"
Номер опубликования: 1700201604290008
Дата опубликования: 29.04.2016
Страница №12 из 45:
Увеличить