Официальное опубликование правовых актов
ОФИЦИАЛЬНОЕ ОПУБЛИКОВАНИЕ
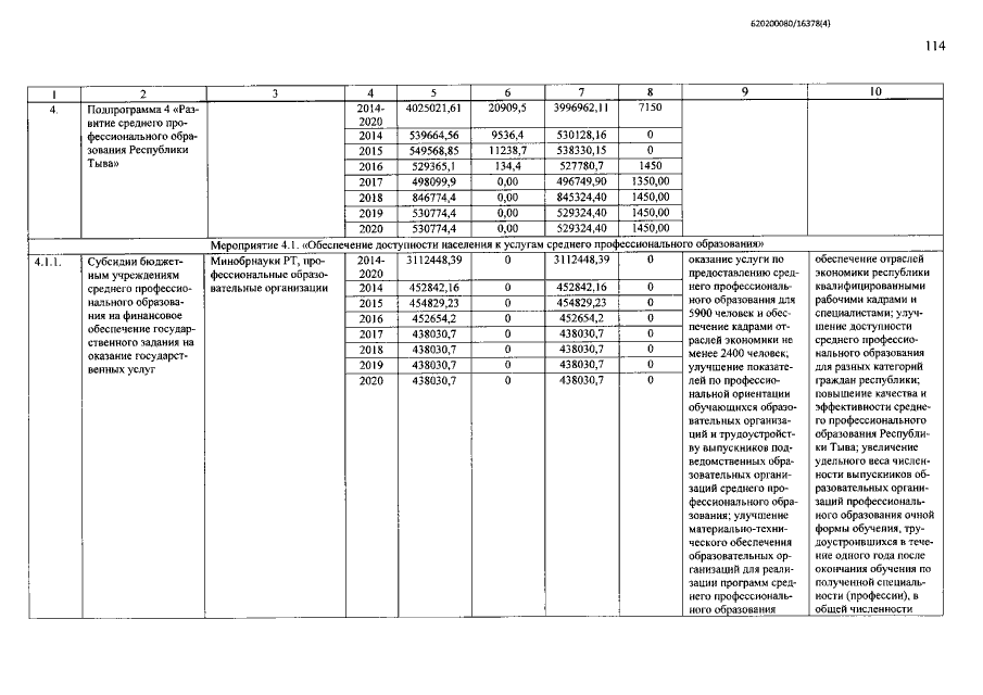
Постановление Правительства Республики Тыва от 28.10.2016 № 457 "О внесении изменений в государственную программу Республики Тыва "Развитие образования и науки на 2014-2025 годы"
Номер опубликования: 1700201611030006
Дата опубликования: 03.11.2016
Страница №114 из 191:
Увеличить