Официальное опубликование правовых актов
ОФИЦИАЛЬНОЕ ОПУБЛИКОВАНИЕ
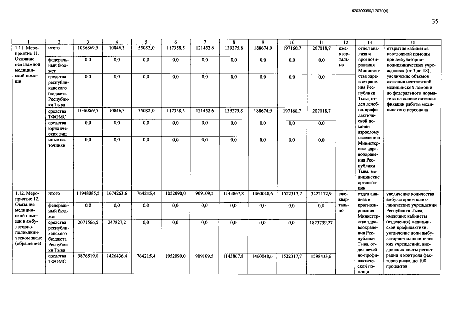
Постановление Правительства Республики Тыва от 24.05.2017 № 230 "О внесении изменений в государственную программу Республики Тыва "Развитие здравоохранения на 2013-2020 годы"
Номер опубликования: 1700201705290004
Дата опубликования: 29.05.2017
Страница №35 из 83:
Увеличить