Официальное опубликование правовых актов
ОФИЦИАЛЬНОЕ ОПУБЛИКОВАНИЕ
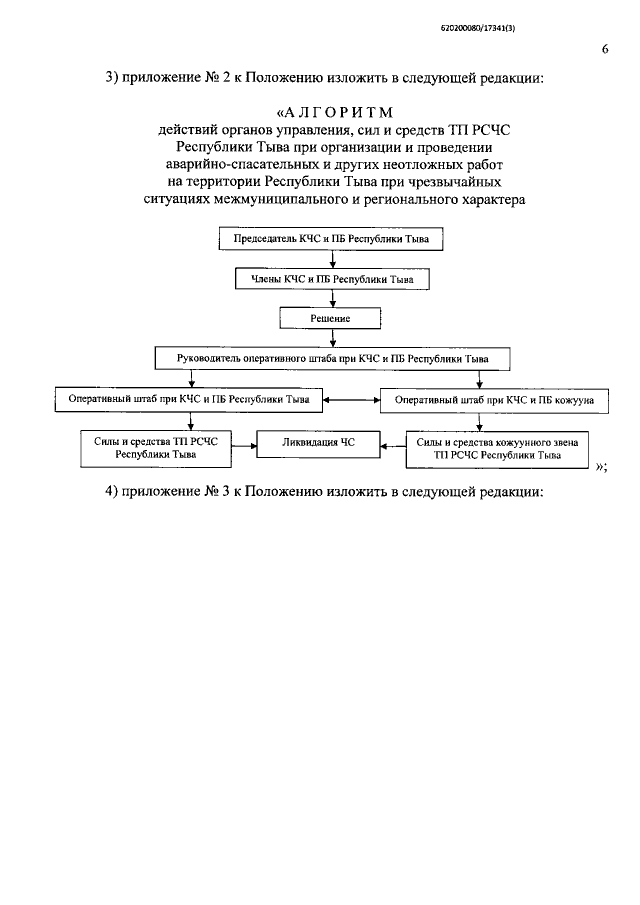
Постановление Правительства Республики Тыва от 20.07.2017 № 332 "О внесении изменений в постановление Правительства Республики Тыва от 22 марта 2011 г. № 182"
Номер опубликования: 1700201707250002
Дата опубликования: 25.07.2017
Страница №6 из 7:
Увеличить