Официальное опубликование правовых актов
ОФИЦИАЛЬНОЕ ОПУБЛИКОВАНИЕ
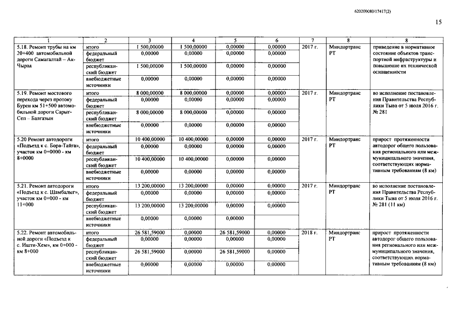
Постановление Правительства Республики Тыва от 26.07.2017 № 339 "О внесении изменений в государственную программу Республики Тыва "Развитие транспортной системы Республики Тыва на 2017-2019 годы"
Номер опубликования: 1700201707310003
Дата опубликования: 31.07.2017
Страница №15 из 51:
Увеличить