Официальное опубликование правовых актов
ОФИЦИАЛЬНОЕ ОПУБЛИКОВАНИЕ
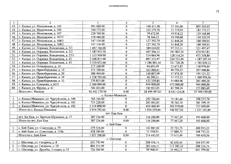
Постановление Правительства Республики Тыва от 27.04.2018 № 230 "О внесении изменений в региональную программу "Капитальный ремонт общего имущества в многоквартирных домах, расположенных на территории Республики Тыва, на 2014-2043 годы"
Номер опубликования: 1700201805030008
Дата опубликования: 03.05.2018
Страница №75 из 106:
Увеличить