Официальное опубликование правовых актов
ОФИЦИАЛЬНОЕ ОПУБЛИКОВАНИЕ
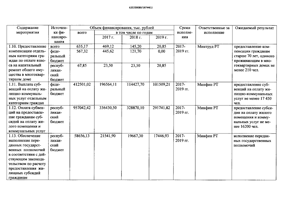
Постановление Правительства Республики Тыва от 27.06.2018 № 329 "О внесении изменений в государственную программу Республики Тыва "Социальная поддержка граждан в Республике Тыва на 2017-2019 годы"
Номер опубликования: 1700201807020014
Дата опубликования: 02.07.2018
Страница №12 из 38:
Увеличить