Официальное опубликование правовых актов
ОФИЦИАЛЬНОЕ ОПУБЛИКОВАНИЕ
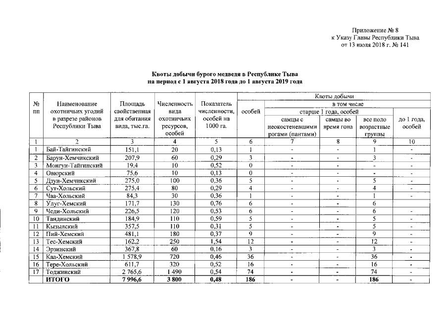
Указ Главы Республики Тыва от 13.07.2018 № 141
"О лимитах добычи охотничьих ресурсов на территории Республики Тыва на период с 1 августа 2018 года до 1 августа 2019 года"
Номер опубликования: 1700201807200001
Дата опубликования: 20.07.2018
Страница №11 из 12:
Увеличить