Официальное опубликование правовых актов
ОФИЦИАЛЬНОЕ ОПУБЛИКОВАНИЕ
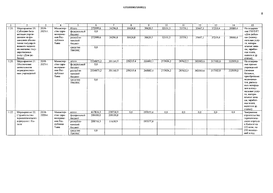
Постановление Правительства Республики Тыва от 07.08.2018 № 398 "Об утверждении государственной программы Республики Тыва "Развитие здравоохранения на 2018-2025 годы"
Номер опубликования: 1700201808090003
Дата опубликования: 09.08.2018
Страница №27 из 57:
Увеличить