Официальное опубликование правовых актов
ОФИЦИАЛЬНОЕ ОПУБЛИКОВАНИЕ
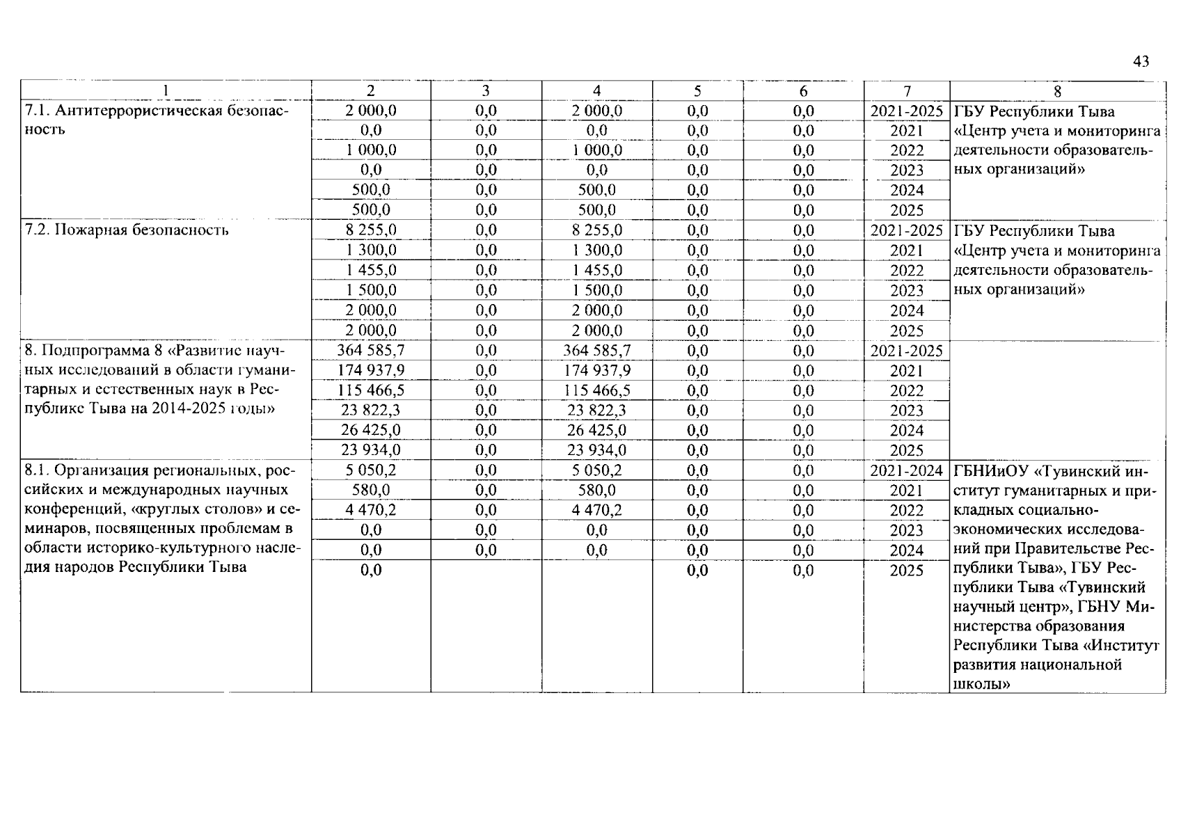
Постановление Правительства Республики Тыва от 21.02.2024 № 63
"О внесении изменений в государственную программу Республики Тыва "Развитие образования на 2014-2025 годы"
Номер опубликования: 1700202402220002
Дата опубликования: 22.02.2024
Страница №43 из 49:
Увеличить