Официальное опубликование правовых актов
ОФИЦИАЛЬНОЕ ОПУБЛИКОВАНИЕ
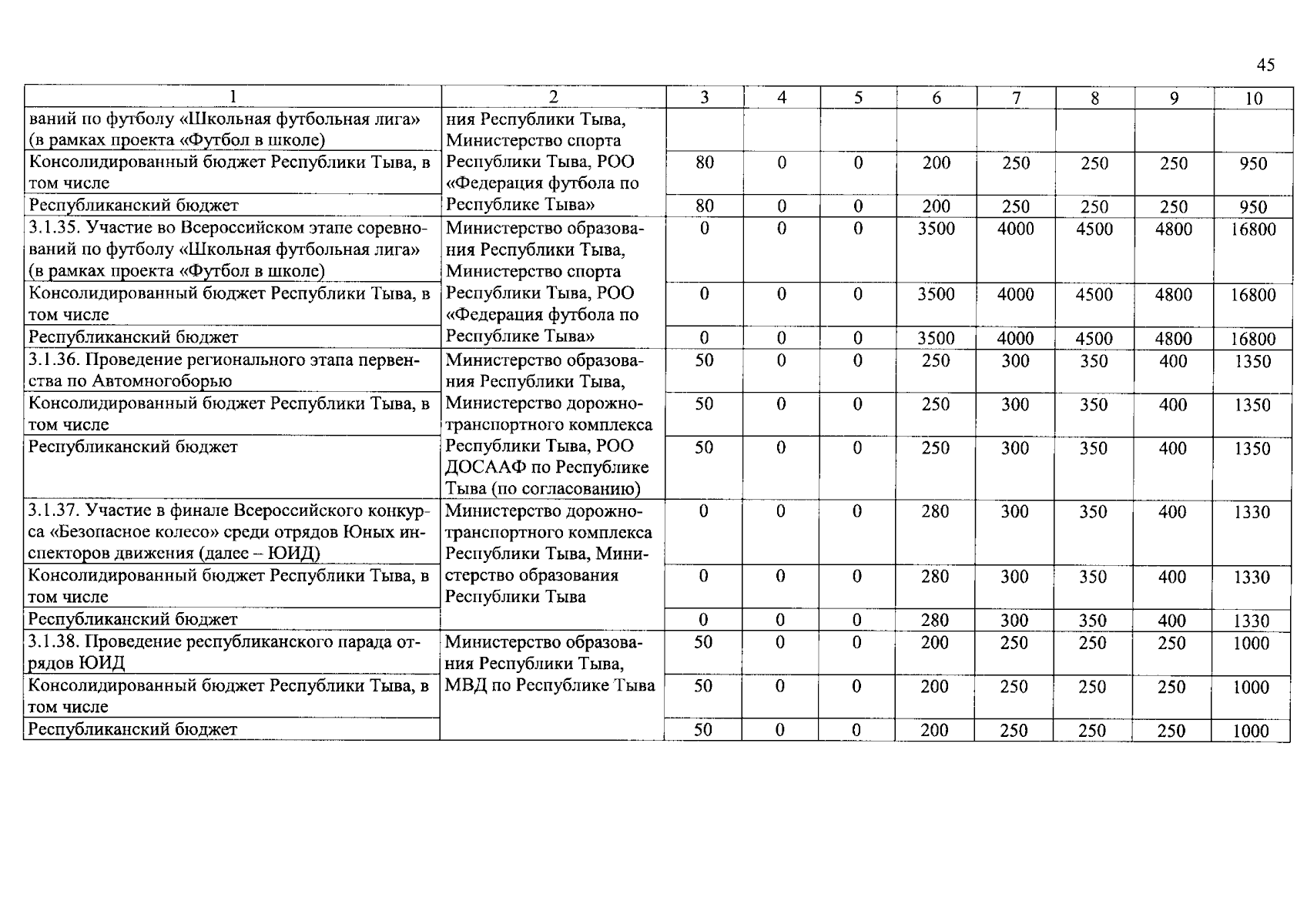
Постановление Правительства Республики Тыва от 21.05.2024 № 244
"О внесении изменений в государственную программу Республики Тыва "Профилактика безнадзорности и правонарушений несовершеннолетних"
Номер опубликования: 1700202405220002
Дата опубликования: 22.05.2024
Страница №45 из 47:
Увеличить