Официальное опубликование правовых актов
ОФИЦИАЛЬНОЕ ОПУБЛИКОВАНИЕ
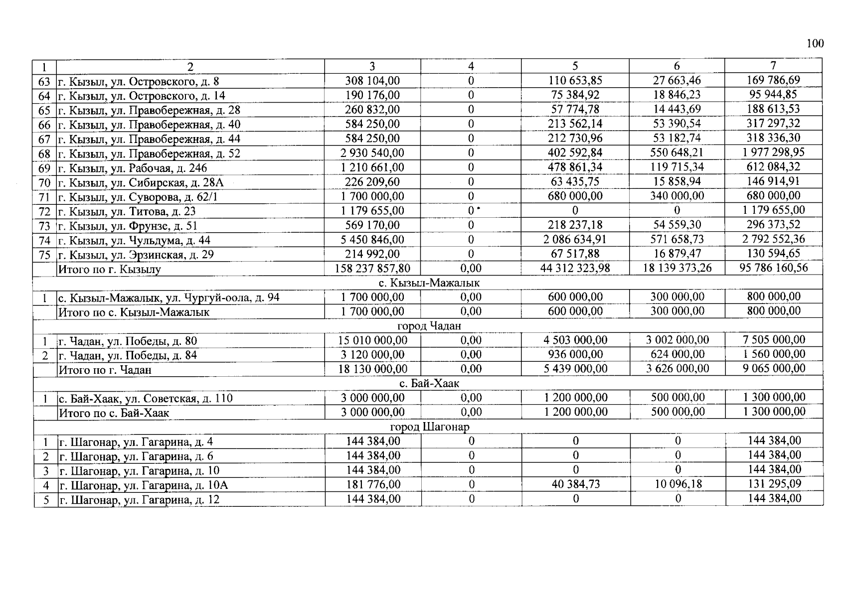
Постановление Правительства Республики Тыва от 15.07.2024 № 355
"О внесении изменений в постановление Правительства Республики Тыва от 11 июня 2014 г. № 281"
Номер опубликования: 1700202407220006
Дата опубликования: 22.07.2024
Страница №100 из 140:
Увеличить