Официальное опубликование правовых актов
ОФИЦИАЛЬНОЕ ОПУБЛИКОВАНИЕ
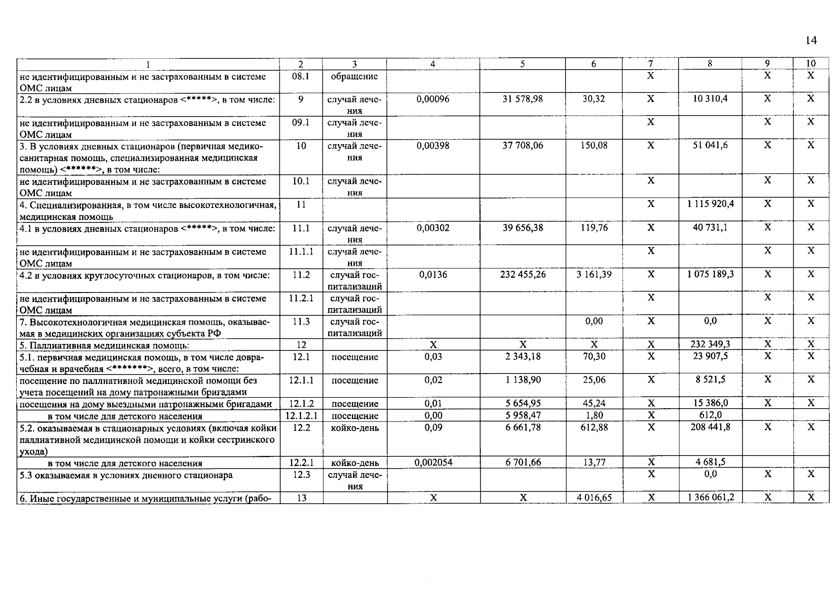
Постановление Правительства Республики Тыва № 616
"Об утверждении Территориальной программы государственных гарантий бесплатного оказания гражданам медицинской помощи в Республике Тыва на 2025 год и на плановый период 2026 и 2027 годов"
Номер опубликования: 1700202501030006
Дата опубликования: 03.01.2025
Страница №85 из 162:
Увеличить