Официальное опубликование правовых актов
ОФИЦИАЛЬНОЕ ОПУБЛИКОВАНИЕ
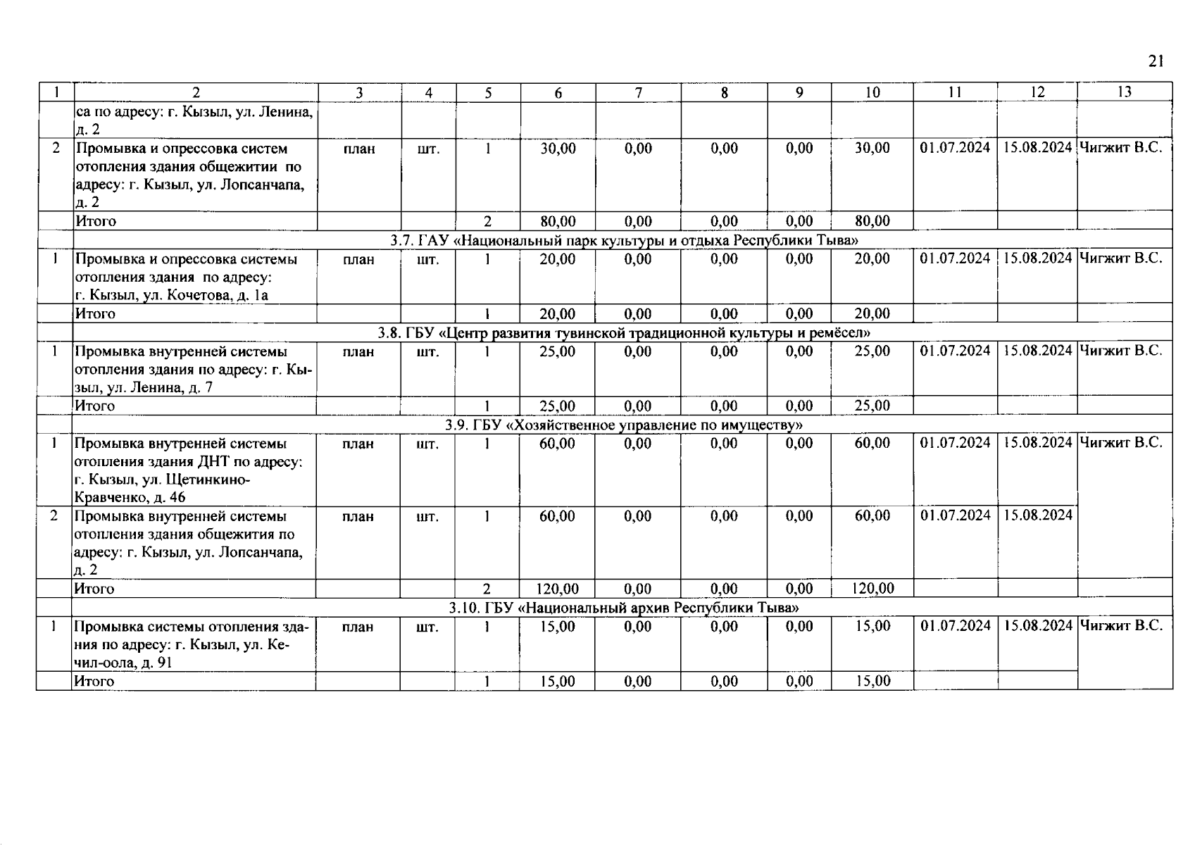
Распоряжение Правительства Республики Тыва от 23.01.2025 № 27-р
"О внесении изменения в план мероприятий по подготовке объектов топливно-энергетического комплекса, жилищно-коммунального хозяйства и социальной сферы Республики Тыва к работе в осенне-зимний период 2024/25 года"
Номер опубликования: 1700202501270009
Дата опубликования: 27.01.2025
Страница №21 из 85:
Увеличить