Официальное опубликование правовых актов
ОФИЦИАЛЬНОЕ ОПУБЛИКОВАНИЕ
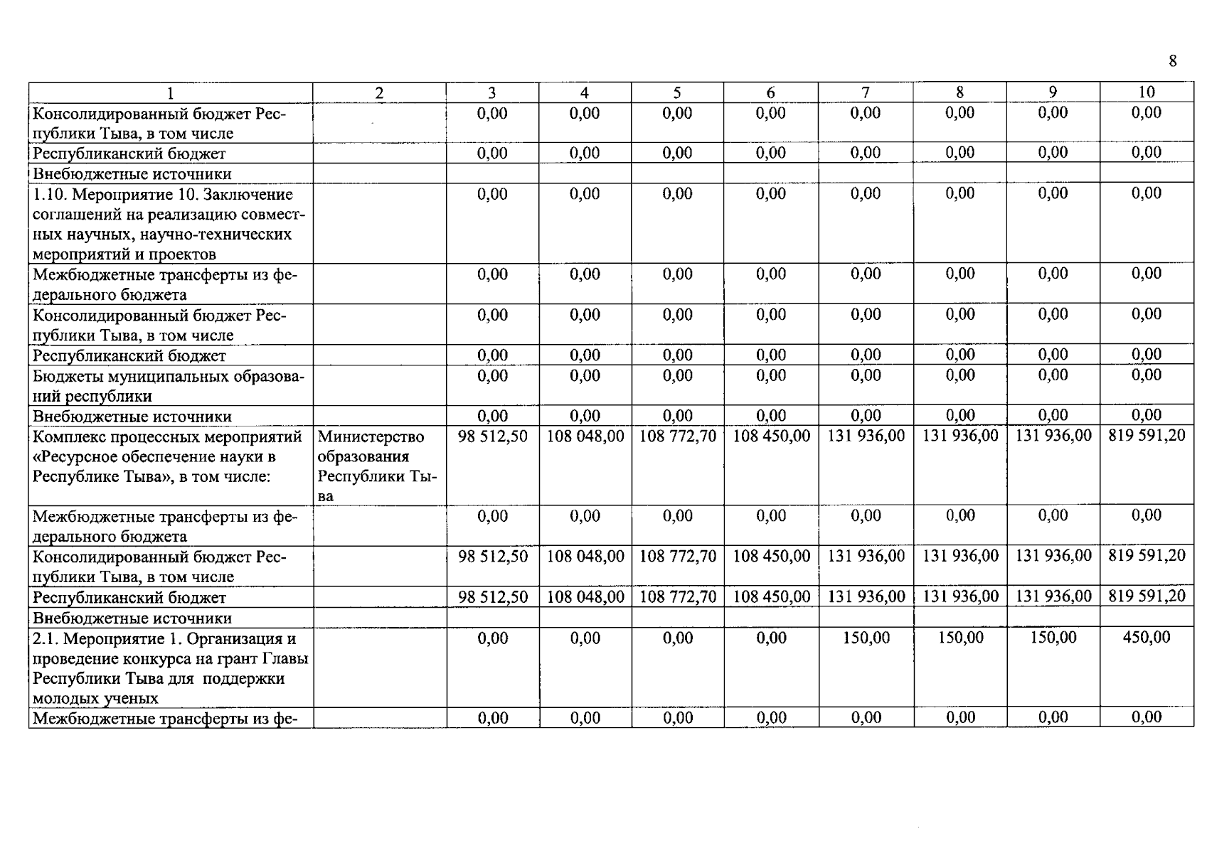
Постановление Правительства Республики Тыва от 29.05.2025 № 261
"О внесении изменений в государственную программу Республики Тыва "Развитие науки и инновационной деятельности в Республике Тыва"
Номер опубликования: 1700202506040012
Дата опубликования: 04.06.2025
Страница №8 из 15:
Увеличить