Официальное опубликование правовых актов
ОФИЦИАЛЬНОЕ ОПУБЛИКОВАНИЕ
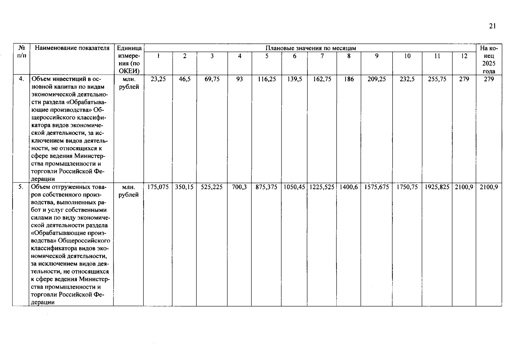
Постановление Правительства Республики Тыва от 13.08.2025 № 402
"О внесении изменений в государственную программу Республики Тыва "Развитие промышленности и инвестиционной политики Республики Тыва"
Номер опубликования: 1700202508140001
Дата опубликования: 14.08.2025
Страница №21 из 38:
Увеличить