Официальное опубликование правовых актов
ОФИЦИАЛЬНОЕ ОПУБЛИКОВАНИЕ
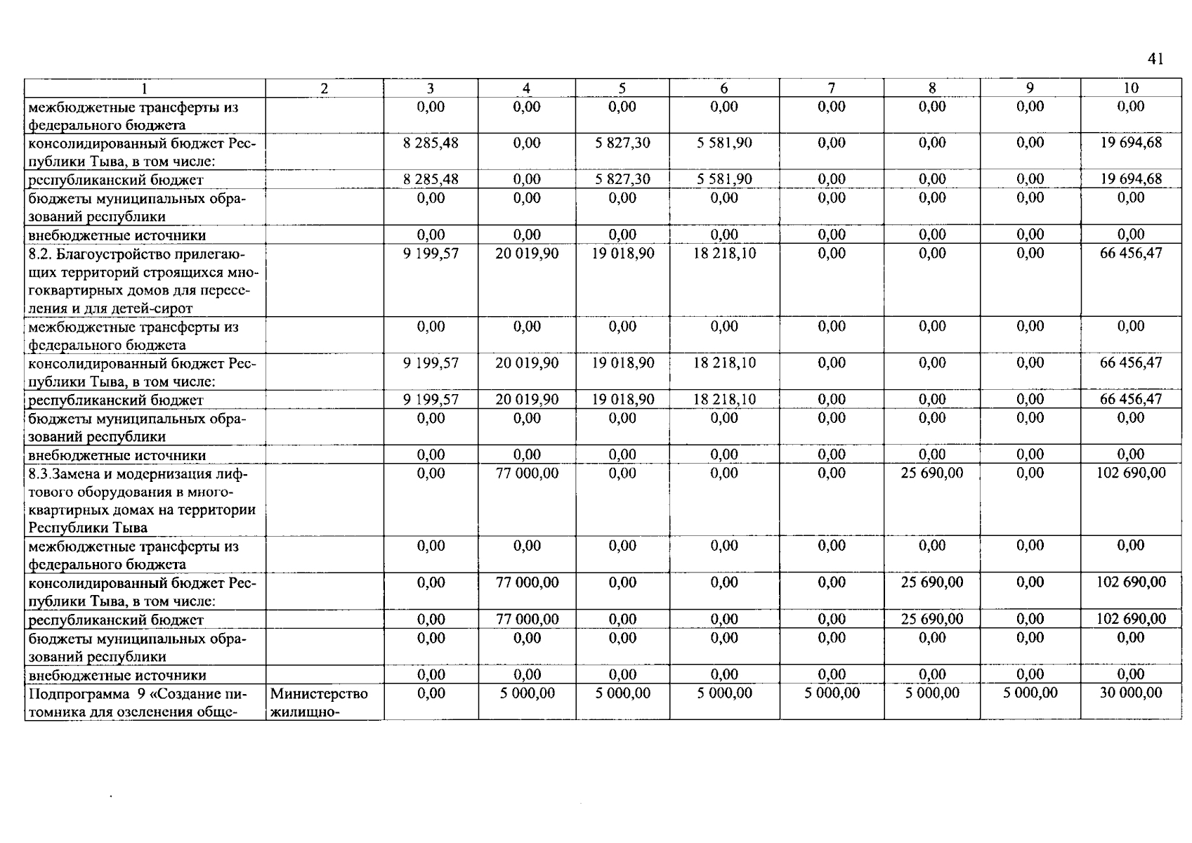
Постановление Правительства Республики Тыва от 23.09.2025 № 467
"О внесении изменений в государственную программу Республики Тыва "Повышение эффективности и надежности функционирования жилищно-коммунального хозяйства Республики Тыва"
Номер опубликования: 1700202509250001
Дата опубликования: 25.09.2025
Страница №41 из 45:
Увеличить