Официальное опубликование правовых актов
ОФИЦИАЛЬНОЕ ОПУБЛИКОВАНИЕ
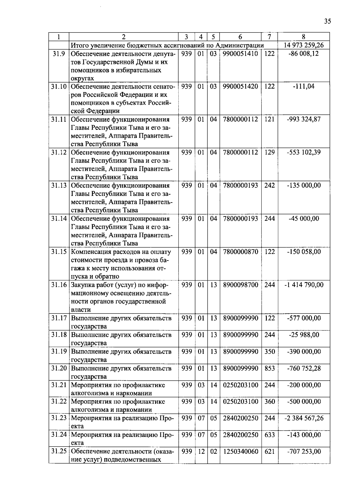
Постановление Правительства Республики Тыва от 08.12.2025 № 583
"О внесении изменений в сводную бюджетную роспись республиканского бюджета Республики Тыва на 2025 год и на плановый период 2026 и 2027 годов"
Номер опубликования: 1700202512110002
Дата опубликования: 11.12.2025
Страница №37 из 51:
Увеличить