Официальное опубликование правовых актов
ОФИЦИАЛЬНОЕ ОПУБЛИКОВАНИЕ
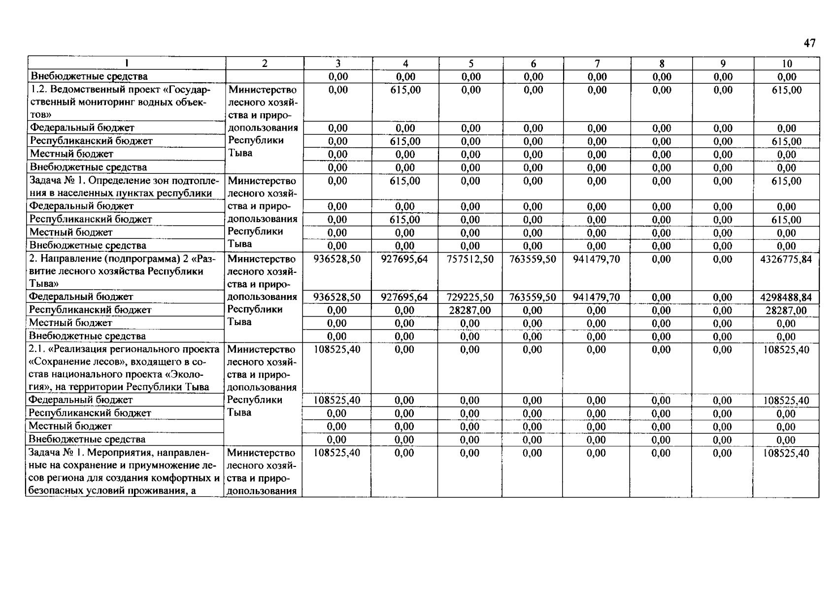
Постановление Правительства Республики Тыва от 26.12.2025 № 627
"О внесении изменений в государственную программу Республики Тыва "Воспроизводство и использование природных ресурсов Республики Тыва"
Номер опубликования: 1700202512300007
Дата опубликования: 30.12.2025
Страница №47 из 62:
Увеличить