Официальное опубликование правовых актов
ОФИЦИАЛЬНОЕ ОПУБЛИКОВАНИЕ
Постановление Правительства Республики Тыва от 29.12.2025 № 630
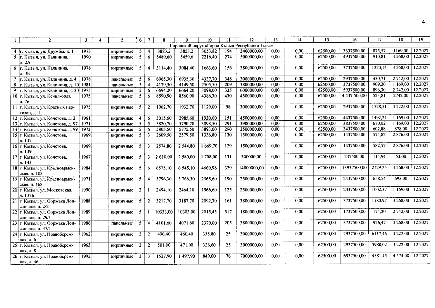
"Об утверждении краткосрочного плана реализации региональной программы "Капитальный ремонт общего имущества в многоквартирных домах, расположенных на территории Республики Тыва, на 2014-2043 годы" на 2026-2028 годы"
Номер опубликования: 1700202512300009
Дата опубликования: 30.12.2025
Страница №5 из 20:
Увеличить