Официальное опубликование правовых актов
ОФИЦИАЛЬНОЕ ОПУБЛИКОВАНИЕ
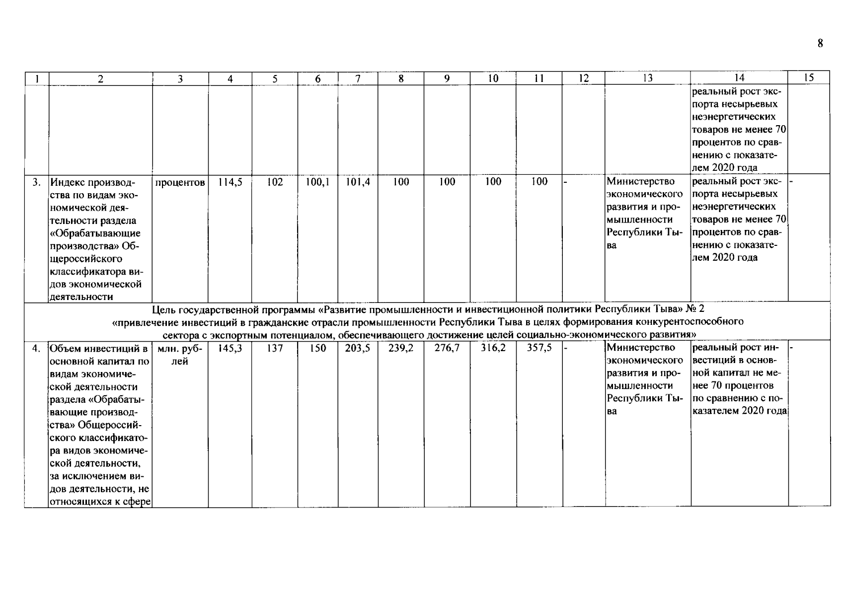
Постановление Правительства Республики Тыва от 28.01.2026 № 22
"О внесении изменений в государственную программу Республики Тыва "Развитие промышленности и инвестиционной политики Республики Тыва"
Номер опубликования: 1700202602020012
Дата опубликования: 02.02.2026
Страница №8 из 34:
Увеличить