Официальное опубликование правовых актов
ОФИЦИАЛЬНОЕ ОПУБЛИКОВАНИЕ
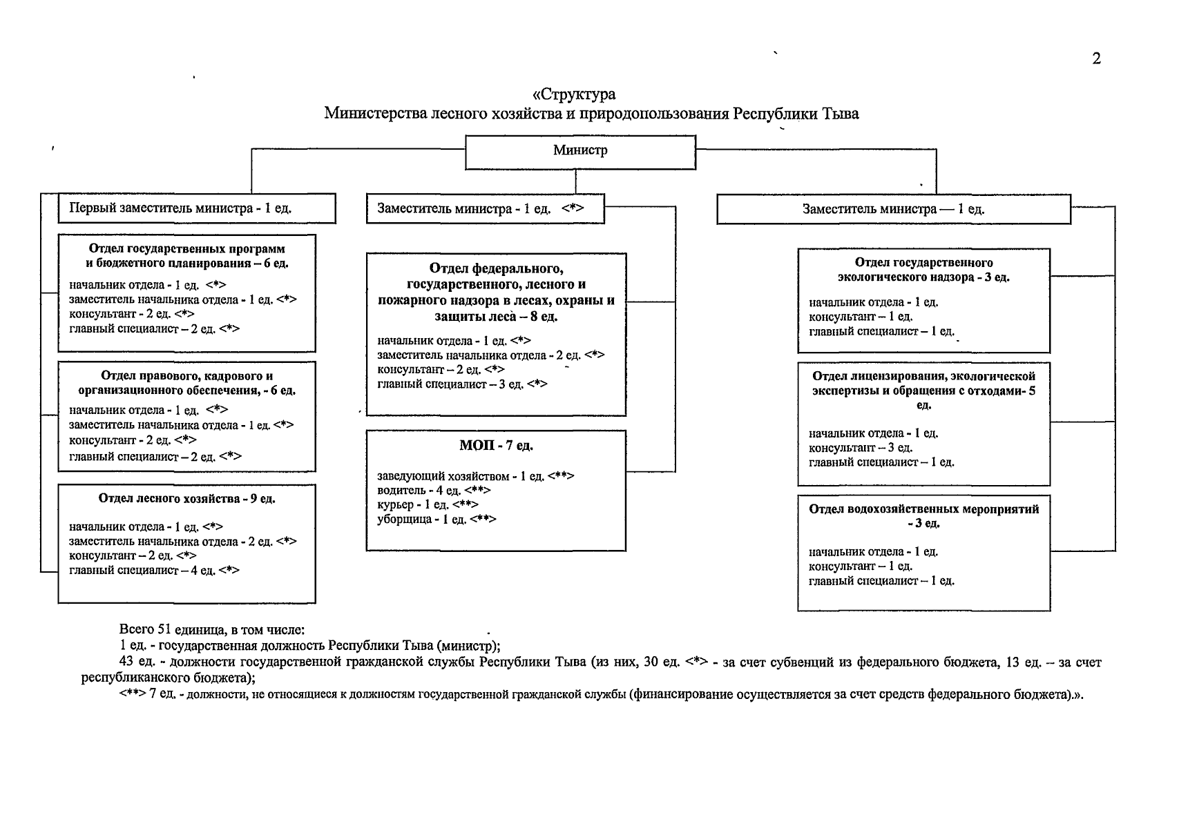
Указ Главы Республики Тыва от 20.02.2026 № 48
"О внесении изменения в структуру Министерства лесного хозяйства и природопользования Республики Тыва"
Номер опубликования: 1700202602260001
Дата опубликования: 26.02.2026
Страница №2 из 3:
Увеличить