Официальное опубликование правовых актов
ОФИЦИАЛЬНОЕ ОПУБЛИКОВАНИЕ
Постановление Правительства Республики Тыва от 24.03.2026 № 114
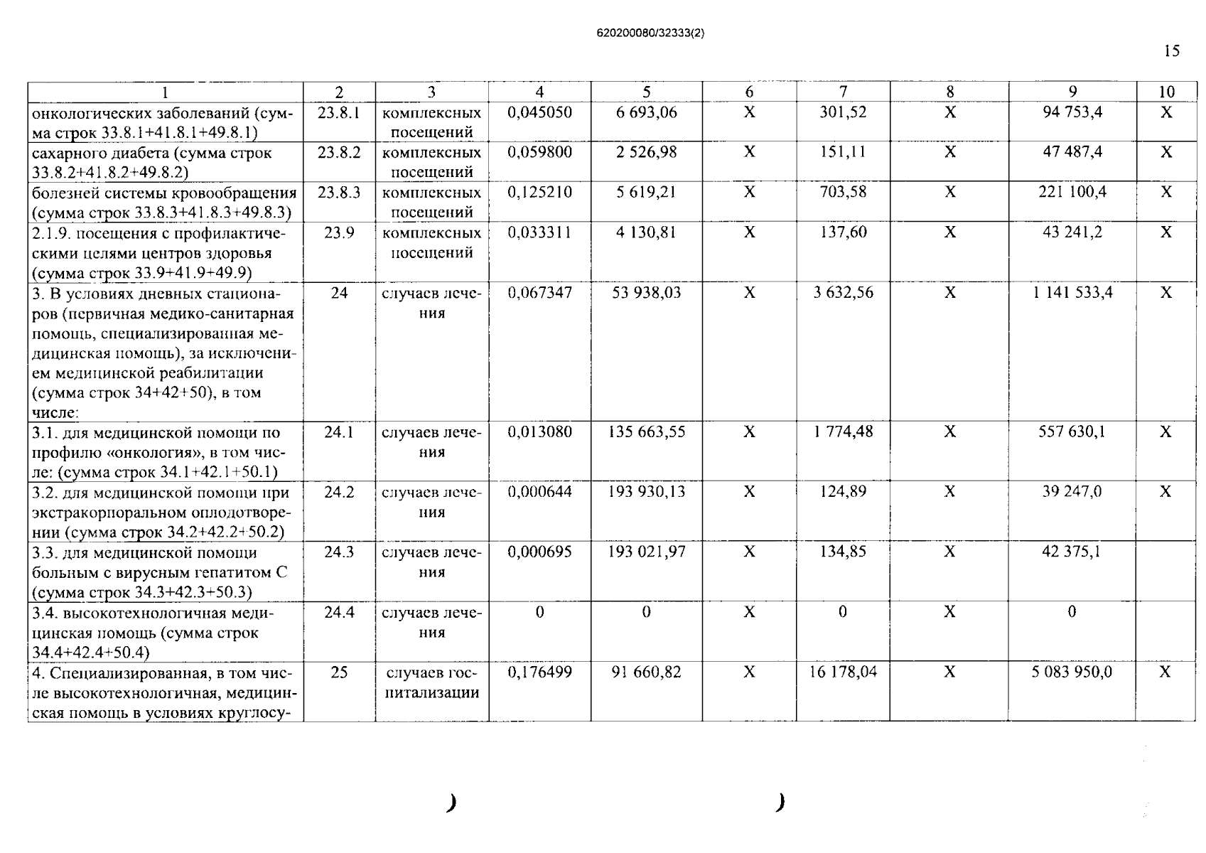
"О внесении изменений в Территориальную программу государственных гарантий бесплатного оказания гражданам медицинской помощи в Республике Тыва на 2025 год и на плановый период 2026 и 2027 годов"
Номер опубликования: 1700202603260001
Дата опубликования: 26.03.2026
Страница №15 из 39:
Увеличить