Официальное опубликование правовых актов
ОФИЦИАЛЬНОЕ ОПУБЛИКОВАНИЕ
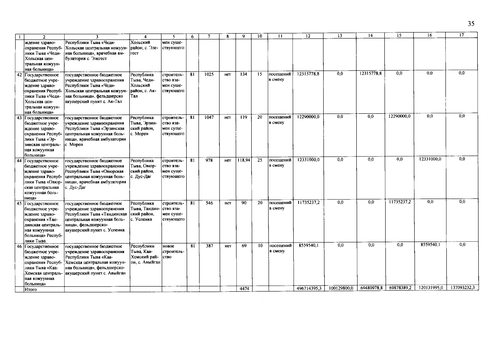
Постановление Правительства Республики Тыва от 26.03.2026 № 118
"О внесении изменений в региональную программу "Модернизация первичного звена здравоохранения Республики Тыва на 2021-2025 годы"
Номер опубликования: 1700202603300002
Дата опубликования: 30.03.2026
Страница №35 из 59:
Увеличить