Официальное опубликование правовых актов
ОФИЦИАЛЬНОЕ ОПУБЛИКОВАНИЕ
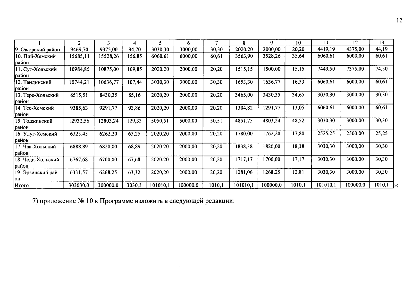
Постановление Правительства Республики Тыва от 08.04.2026 № 135
"О внесении изменений в государственную программу Республики Тыва "Формирование современной городской среды Республики Тыва"
Номер опубликования: 1700202604100003
Дата опубликования: 10.04.2026
Страница №12 из 19:
Увеличить