Официальное опубликование правовых актов
ОФИЦИАЛЬНОЕ ОПУБЛИКОВАНИЕ
Постановление Правительства Удмуртской Республики от 12.09.2016 № 389
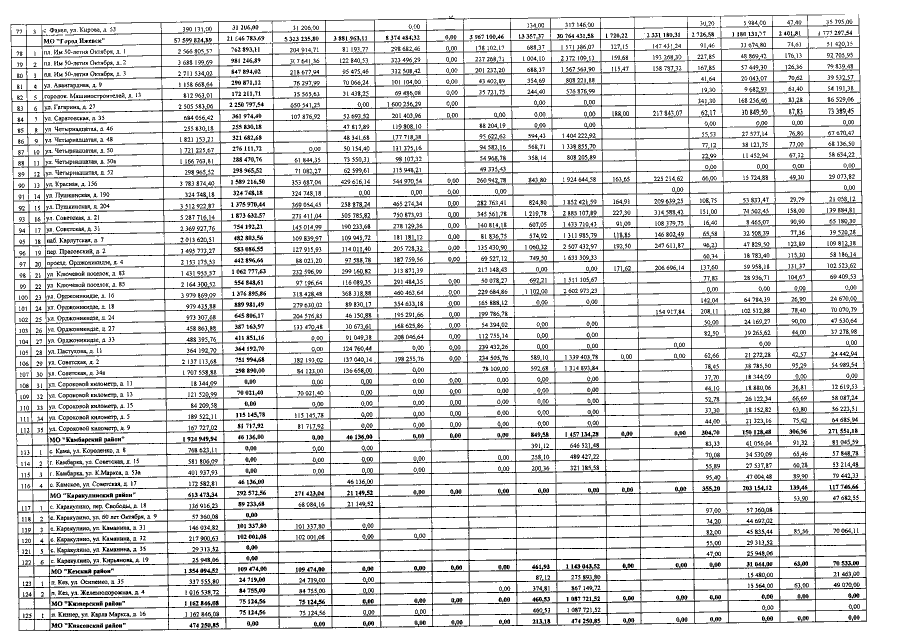
"О внесении изменений в постановление Правительства Удмуртской Республики от 5 мая 2015 года № 227 "Об утверждении Краткосрочного плана реализации Региональной программы капитального ремонта общего имущества в многоквартирных домах в Удмуртской Республике на 2015 год и планируемый период 2016 и 2017 годов"
Номер опубликования: 1800201609200009
Дата опубликования: 20.09.2016
Страница №11 из 19:
Увеличить