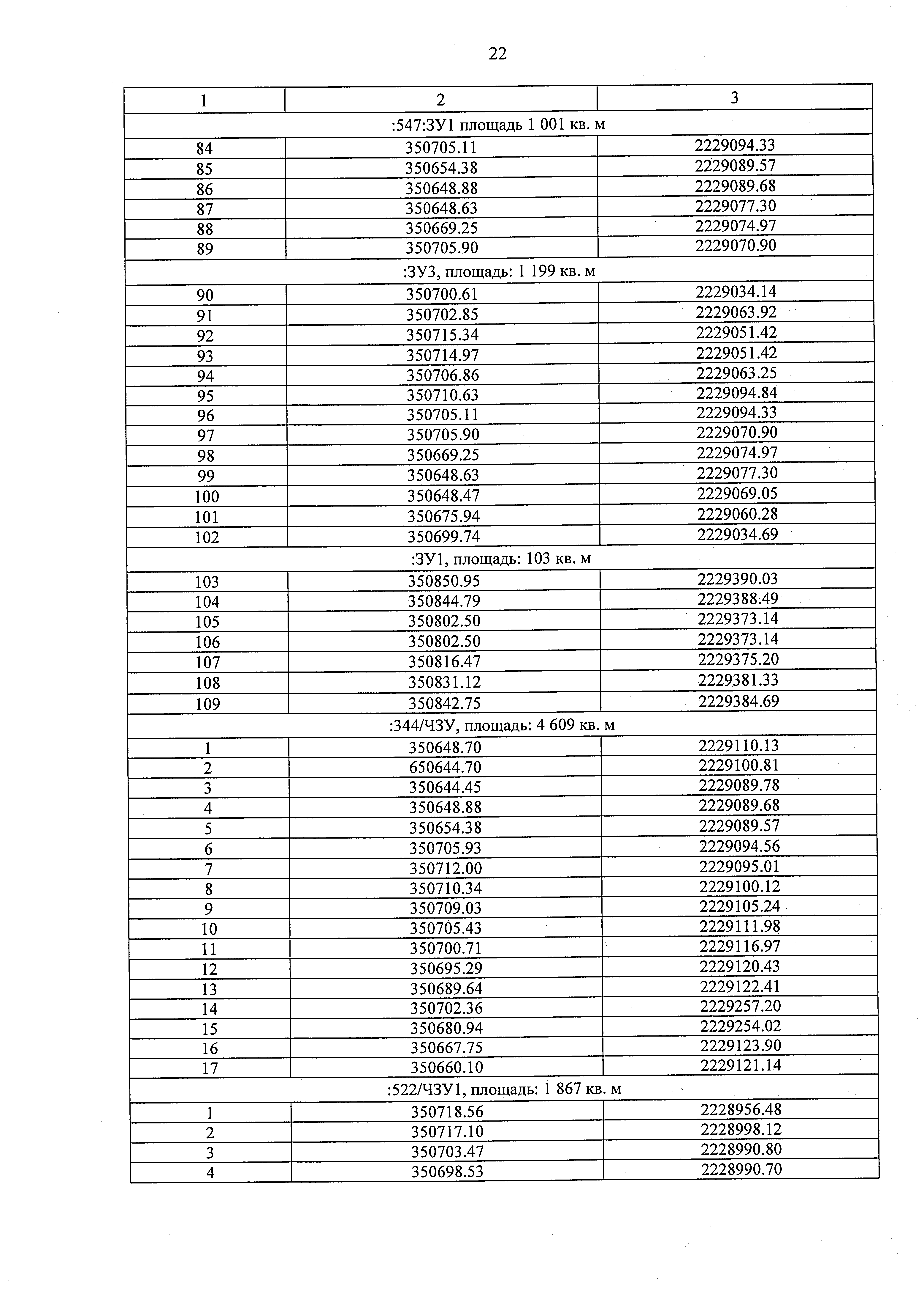
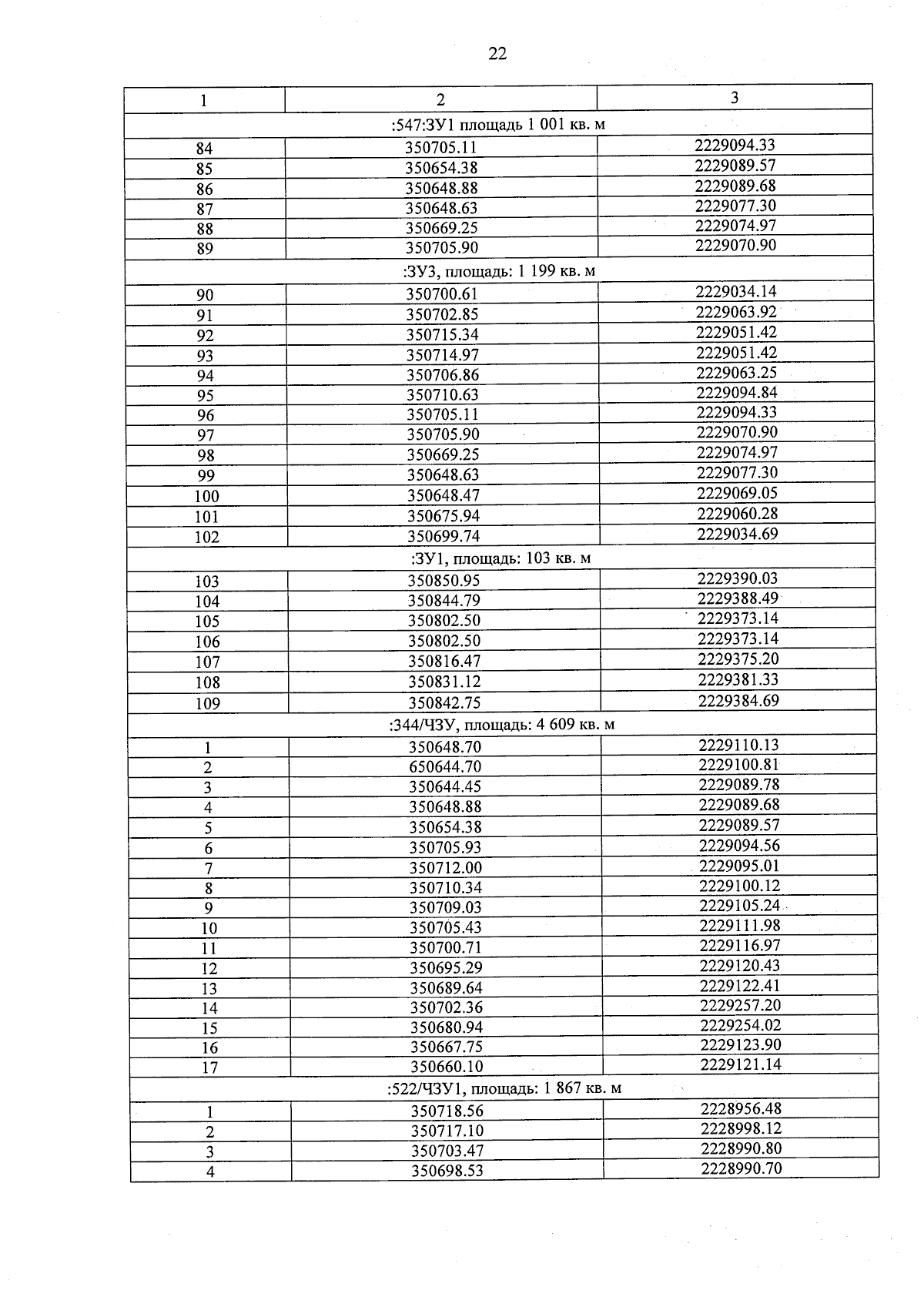
Официальное опубликование правовых актов
ОФИЦИАЛЬНОЕ ОПУБЛИКОВАНИЕ
Постановление Правительства Удмуртской Республики от 15.08.2024 № 438
"Об утверждении документации по планировке территории (проекта планировки и проекта межевания территории) по объекту "Строительство путепровода через ж/д, км 15+570 автомобильной дороги Бураново – Киясово км 0+038 – км 19+672 в Малопургинском районе Удмуртской Республики"
Номер опубликования: 1800202408260012
Дата опубликования: 26.08.2024
Страница №23 из 25: