Официальное опубликование правовых актов
ОФИЦИАЛЬНОЕ ОПУБЛИКОВАНИЕ
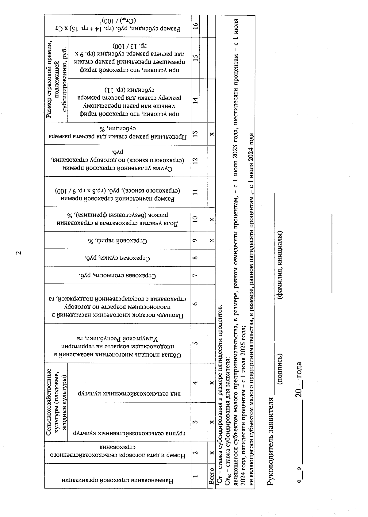
Постановление Правительства Удмуртской Республики от 23.09.2024 № 502
"Об утверждении Положения о предоставлении субсидии сельскохозяйственным товаропроизводителям на возмещение части затрат на уплату страховых премий, начисленных по договорам сельскохозяйственного страхования в области растениеводства и (или) животноводства"
Номер опубликования: 1800202409270010
Дата опубликования: 27.09.2024
Страница №34 из 37:
Увеличить