Официальное опубликование правовых актов
ОФИЦИАЛЬНОЕ ОПУБЛИКОВАНИЕ
Постановление Правительства Удмуртской Республики от 19.08.2025 № 487
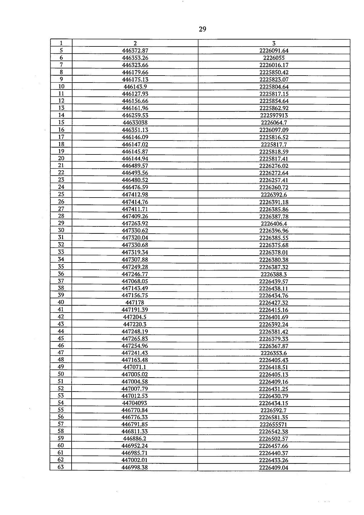
"О внесении изменений в постановление Правительства Удмуртской Республики от 25 сентября 2023 года № 639 "Об утверждении документации по планировке территории (проекта планировки территории и проекта межевания территории) линейного объекта "Чутырско-Киенгопское газонефтяное месторождение. Чутырская площадь. Реконструкция системы сбора и транспорта нефти. Вторая очередь"
Номер опубликования: 1800202508250006
Дата опубликования: 25.08.2025
Страница №29 из 82:
Увеличить