Официальное опубликование правовых актов
ОФИЦИАЛЬНОЕ ОПУБЛИКОВАНИЕ
Постановление Правительства Удмуртской Республики от 12.11.2025 № 665
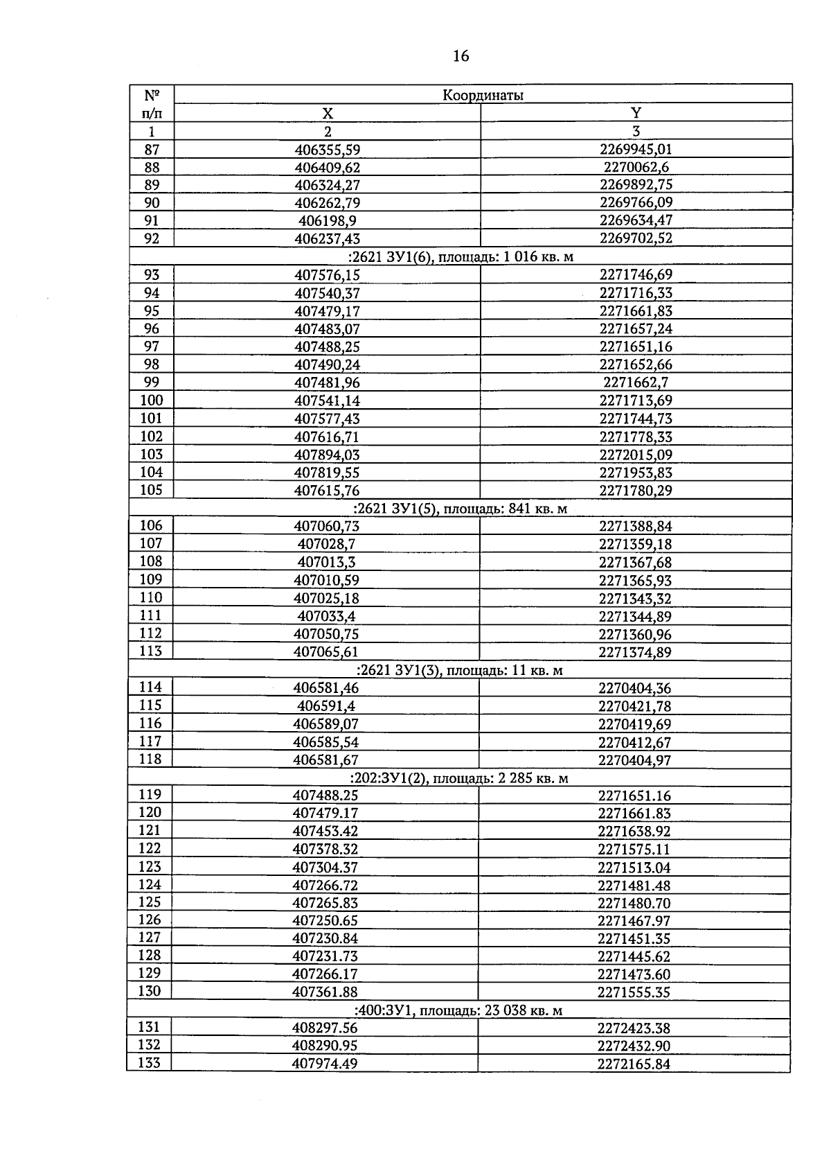
"О внесении изменений в постановление Правительства Удмуртской Республики от 21 декабря 2023 года № 857 "Об утверждении документации по планировке территории (проекта планировки и проекта межевания территории) по объекту "Реконструкция автомобильной дороги 94 ОП РЗ Р-1 Ижевск – Воткинск в Удмуртской Республике (3 этап)"
Номер опубликования: 1800202511190003
Дата опубликования: 19.11.2025
Страница №16 из 23:
Увеличить