Официальное опубликование правовых актов
ОФИЦИАЛЬНОЕ ОПУБЛИКОВАНИЕ
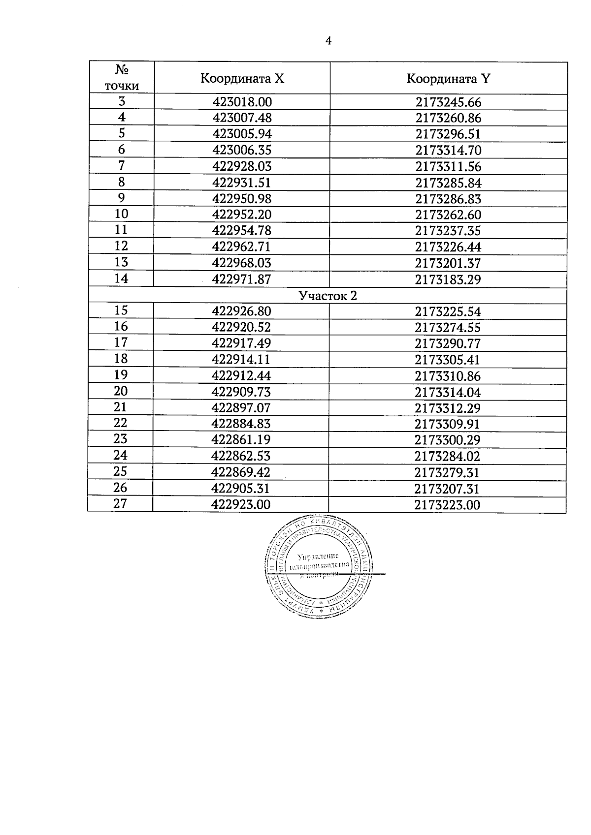
Постановление Правительства Удмуртской Республики от 17.11.2025 № 674
"Об установлении зон охраны объекта культурного наследия регионального значения "Волостное правление" и утверждении требований к градостроительным регламентам в границах территорий данных зон"
Номер опубликования: 1800202511240006
Дата опубликования: 24.11.2025
Страница №6 из 9:
Увеличить